首页 诗词 字典 板报 句子 名言 友答 励志 学校 网站地图
当前位置: 首页 > 作文频道 > 小学作文 > 二年级作文 >

暑假·众享收获(一)—有理数及其运算预习作文

2018-06-05 
暑假·众享收获(一)—有理数及其运算预习【知识点精】有理数分类:正有理数,0,负有理数. 【例题精讲】若上升5m记

 

暑假·众享收获(一)—有理数及其运算预习

 

 

 

 

【知识点精】

 

   有理数分类:正有理数,0,负有理数.

 

【例题精讲】

    若上升5m记作+5m,则-8m表示(下降8m );如果-10元表示支出10元,那么+50元表示(收入50元);如果零上5℃记作+5℃,那么零下2℃表示(-2℃);太平洋中的马里亚纳海沟深达11034m【即低于海平面11034m】则比海平面高50m的地方,它的高度记作海拔(+50m),比海平面低30m的地方,它的高度记作海拔(-30m)。

 

【知识点睛】

    数轴: 一般的,设a是一个整数,则数轴上表示a的点在原点的距离是a个单位长度;表示数-a的点在原点的左侧,与原点的距离也是a个单位长度。

 

相反数

   (1)任何一个数都有相反数,而且只有一个;

  (2)正数的相反数是负数,即当有理数a<0时,-a>0;

   (3)负数的相反数是正数,即当有理数a<o时,-a>0;

  (4)0的相反数是0,即当a=0时,-a=0,因此,-a表示的数不一定是负数。

 

 多重符号的化简

  (1)当最前面的符号是“+”号时,直接省略这个“+”号;

  (2)当最前面的符号是“-”号时,去掉这个“-”号,并写出括号内的数的相反数;

  (3)当这个数还能继续化简时,重复使用以上述方法。

 

【例题精讲】

下列各组中,互为相反数的是( C )。

  A、0.4与-0.41         B、3.8与-2.9

  C、-(-8)与-8         D、-(+3)与+(-3)

绝对值

  (1)由绝对值的定义可知,距离不可能为负数,因此一个数的绝对值都是非负的;

   (2)由绝对值的代数定义可知,当lal=a时,a可以去正数和0;当lal=-a时,a可以取负数和0.

  (3)若两数的绝对值相等,则它们相等或互为相反数,即lal=lbl,则a=b或a=-b;

  (4)任何数的绝对值都不小于它本身;

   (5)若几个数的绝对值之和为0,则这几个数同时为0.

   

 【回顾与思考】

 1、在数轴上距离3个单位长度的点表示什么数?答:正负3.

2、字母a表示一个有理数,-a表示什么数?-a一定是负数吗?答:-a表示a的相反数,-a不一定是负数,有可能是正数,有可能是负数,也有可能是0.

有理数加法法则

  【知识点睛】:

     1. 同号两数相加,把绝对值相加,所得值符号不变。如-1+(-1)=-|1+1|=-2 、 1.1+1.1=2.2。

    2. 异号两数相加,若绝对值不等,取绝对值较大的数的符号,并用较大的绝对值减去较小的绝对值。若绝对值相等即互为相反数的两个数相加得0。如-1+2=+|2-1|=1 、 2+(-3)=-|3-2|=-1 、-3.2+3.2=0。

 

    3. 一个数同0相加,仍得这个数。如3.14+0=3.14。

 

    注意:一是确定结果的符号;二是求结果的绝对值。在进行有理数加法运算时,首先判断两个加数的符号:是同号还是异号,是否有0。从而确定用那一条法则。在应用过程中,一定要牢记“先符号,后绝对值”,熟练以后就不会出错了。多个有理数的加法,可以从左向右计算,也可以用加法的运算定律计算,但是在下笔前一定要思考好,哪一个要用定律哪一个要从左往右计算。

 有理数减法法则

【知识点睛】:1减去一个数,等于加这个数的相反数。

2两变:减法运算变加法运算,减数变成它的相反数做加数。

3一不变:被减数不变。

用符号可表示成: a-b=a+(-b)

 

【例题精讲】

      

                       暑假·众享收获(一)—有理数及其运算预习作文

 解析:先观察,然后把所有的减号都换成加号

有理数乘法法则

【知识点睛】:

   1. 两数相乘,同号为正,异号为负,并把绝对值相乘。

   2. 任何数同0相乘,都得0。

   3. 乘积为1的两个有理数互为倒数。

   4. 几个不是0的数相乘,负因数得个数是偶数时,积是正数;负因数的个数是奇数时,积是负数。

   5. 几个数相乘,如果其中有因数为0,那么积等于0。

 

有理数除法法则

   1. 除以一个不等于0的数,等于乘这个数的倒数。

   2. 两数相除,同号得正,异号得负,并把绝对值相除。

   3. 0除以任何一个不等于0的数,都得0。

   注意:0不能做除数。

 

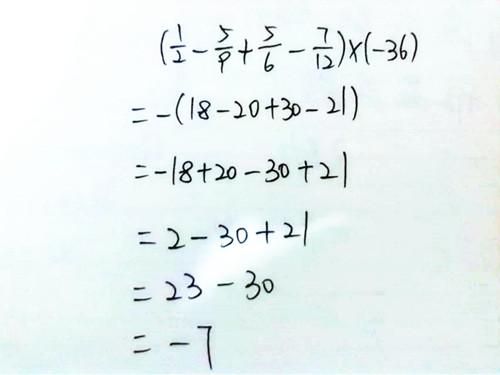
例题精讲:

        

     暑假·众享收获(一)—有理数及其运算预习作文

 

解析:把负号留在外面,把36直接带进去。

 

 

【回顾与思考】:

  1.比较大小:(1)若a<0,则a( > )2a;

  2.若a<c<o<b,则a×b×c( > )o。

有理数的乘方

  【知识点睛】:   

    1.定义:求n个相同因数的积的运算,叫做乘方,乘方的结果叫做幂。

    2  读法:看作运算,读作“a的n次方”。看作结果,读作“a的n次幂”。 

    3  与乘法的关系:乘方是特殊的乘法运算,即相同因数的乘法运算。

   4 正数的任何次幂都是正数;

   5  负数的奇次幂是负数,负数的偶次幂是正数;

   6  零的任何正整次数幂都是零。

 注意:

  (1)乘方表示相同的积,其中相同的因数是底数,因数的个数是指数。

  (2)在表示有理数的乘方时,指数写在右上角并且要写的小些。

  (3)一个数可以看作是自身的一次方。

  (4)当底数是分数时,要先用括号将底数括起来。

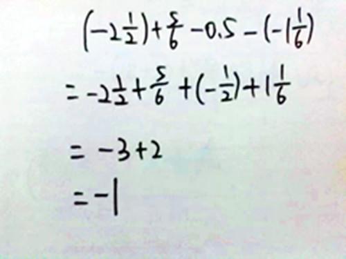
例题精讲:

         暑假·众享收获(一)—有理数及其运算预习作文

        

解析:这道题分两部分,-1是一部分,后面是一部分

有理数的混合运算

【知识点睛】

    运算顺序:(1)先乘方,再乘除,最后加减;

   (2)同级运算,按照从左到右的顺序进行;

(3)如有括号,先进行括号内的运算,按小括号、中括号、大括号依次进行。

 注意:有理数的混合运算是我们所学过的加减运算、乘除运算、乘方运算的综合,因此每次运算都要按照相应的运算法则先确定符号,再求其绝对值。

科学计数法:

    一般的,把一个数表示成a×10的n次幂的形式,其中1≤|a|<10,n为整数,这种记数的方法叫做科学记数法。

    n的确定方法:n等于原数的整数位数减1。

    将原来的小数点从最右边移到左边第一个非零字后面,移动几位,n就是几。

 

   通过预习卢老师的课,我对众享的课程更加喜爱了,知识点也有了更深刻的理解,我会继续听课程,并认真做课后测的,以便更好地提高自己。

 

 

 

 

 

 

 

 

 

 

 

 

 

 

 

热点排行