TOJ 1220 填数字游戏 / 深搜
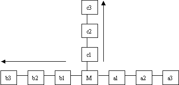
有个小游戏,让你填写以下方框,要求: a1+a2+a3+M=b1+b2+b3+M=c1+c2+c3+M 其中a1,a2, a3 ,b1, b2, b3, c1, c2, c3, M是1-10中的一个数,并且要求a1、a2、a3递增有序,b1、b2、b3递增有序、c1、c2、c3递增有序,a1、b1、c1递增有序。 无 输出的格式如下: M 注意,请按行优先的规则输出所有符合条件的数列,即:M值小的先输出,如果M值相等,那么a1小的先输出,如果a1相等,a2小的先输出,依次类推。每组数据之间有一个空行。 样例输入 样例输出 首先水题不解释 做完这题 快上课了 反正迟到了 是实验课 反正自己做 还不如寝室自己做 没做完还可以接着做 机房电脑还不给力 都上课不学还影响我 所以 就不去了
a1 a2 a3
b1 b2 b3
c1 c2 c3 12 6 103 7 84 5 9