ILOG的一个基本应用——解决运输问题、转运问题
一、Ilog软件
该软件用来解决优化问题,大部分是线性问题,深一点的其他内容还不清楚。只知道一些基础的应用,网上相关内容很少。接下来就解决一个简单的运输问题
二、运输问题

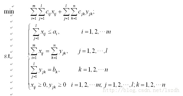
数学模型

ILOG OPL程序
Ilog opl实现
CitiesA = { A1 A2 A3};CitiesB={ B1 B2 B3 B4 }; CitiesC={C1 C2 C3 C4};capacity = 20;supply =[7 4 9];demand =[3 6 5 6]; cost1 =[[2 1 4 3 ] [3 5 100 2 ] [1 100 2 3 ] ]; cost2=[[2 8 4 6] [4 5 2 7] [1 8 2 4] [1 100 2 6] ];
对于产地、转运站、销地之间都可以互相运输的复杂情况,建模不够理想,没有实现。