首页 诗词 字典 板报 句子 名言 友答 励志 学校 网站地图
当前位置: 首页 > 教程频道 > 开发语言 > 编程 >

推荐系统初探之一 —— 寻觅相似的用户

2013-10-27 
推荐系统初探之一—— 寻找相似的用户???????推荐系统初探之一? —— 寻找相似的用户?????? 不知当你登陆亚马

推荐系统初探之一 —— 寻找相似的用户

???????推荐系统初探之一? —— 寻找相似的用户

?????? 不知当你登陆亚马逊、淘宝等购物网站时,是否留意过那神奇推荐栏:当你买过一部手机,那里会出现你需要的手机配件;但你买过一本书,它会给你推荐一大堆类似的书籍;而有时候它甚至会向你推荐你可能喜欢的影片,即使你可能只在这买过食品……

??????? 其实,大多数购物网站都会有一个推荐系统,通过分析你的兴趣偏好,找到与你有相同品味的人,以此来把你可能喜欢的商品推荐给你。

??????? 想知道这些推荐系统背后的秘密吗?现在开始,让我们使用python语言,揭开这些推荐系统背后的秘密。

?一、数据的引入

??????? 首先,我们建一个名为recommendations.py的python文件,用一段代码建立一组简单的数据,内容为几位影评者对不同电影的评价

我们知道:

在一维空间(即直线)中两点的距离为 推荐系统初探之一  —— 寻觅相似的用户

二维空间中的距离为推荐系统初探之一  —— 寻觅相似的用户

三维空间中的距离则为推荐系统初探之一  —— 寻觅相似的用户……

?

以此类推,可以认为N维空间中两点距离仍旧符合以上规律 ,由N组参数差的平方和开平方跟来表示,这种形式表示的距离就叫欧几里得距离。

好了,现在让我们回归正题。了解了欧几里得距离的概念,我们就可以用它来构建我们的相似度评价值体系了。


推荐系统初探之一  —— 寻觅相似的用户
?

??????如图2—1所示,若将电影 'Snacks on a Plane' 与 'You, Me and Dupree' 的评分作为坐标轴的参数,则用户可以用二维空间中的点来表示,其坐标为各自的对应坐标轴电影的评分值,在此只给出了两个参数,如果用上所有六部电影的评分,可构成一个六维空间(靠自己想象了),那么该空间中两名用户(即两点)间的欧几里得距离越短,表示这两位用户的品味越相近。利用数据,我们可以很轻易得出所有用户之间的欧几里得距离,由此得到相似度——不过在这之前似乎还有个问题:我们希望评价的函数使得偏好越相近的用户得到的相似度函数值越高,而欧几里得距离结果却恰好与此相反。为此,我们采用对函数值+1(防止被零除的情况发生),然后取倒数的方法,使得函数返回0到1之间的值,数值越大表示相似度越高,其中1代表两个人品味完全相同。向recommendations.py中添加以下代码,构建欧几里得函数:

?

推荐系统初探之一  —— 寻觅相似的用户

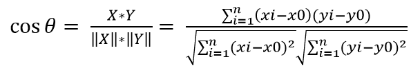
????? 这是高中课本上关于二维空间散点集的皮尔逊相关系数公式,表示两组数据之间的相关程度,取值为-1至1之间,其中+1/-1表示两组数据完全分布在一条上,1表示呈正相关,-1表示呈负相关。

??????? 事实上,皮尔逊相关系数又称为皮尔逊积矩相关系数,我们可以试着从几何角度理解它:
???????对于一组n个数据(xi,yi)(i = 1,2,3……n),我们可以用两个坐标轴的所有数据数据分别生成n维向量(如X =(x1,x2……xn),Y =(y1,y2……yn)),两个向量的夹角余弦值即为皮尔逊相关度。只是注意在该算法中要对数据进行中心化,即将向量的每一维根据均值进行平移,形成以样本中心为原点的向量。

??????? 设样本中心(x0, y0)则向量 X = [ (x1-x0), (x2-x0)……,(xn-x0)],Y = [ (y1-y0), (y2-y0)……(yn-y0)]。


??????????????????? 推荐系统初探之一  —— 寻觅相似的用户

再经过一些代数变换即可得到上面左边的式子,即我们接下来计算时要用到的式子。
?

??????? 类似的,我们选取两位用户的评分值为两坐标轴,可以将所有的电影映射为二维平面上的点,得到图2-2


推荐系统初探之一  —— 寻觅相似的用户
?

??????? 通过我们中学学过的最小二乘法求线性回归直线的公式,我们也很容易找到一条“最佳拟合直线”。可以想象,如果两位用户品味完全相同,那么他们对所有电影的评分都会相同,我们将得到一条斜率为1的过原点的直线。图2-2中的皮尔逊相关系数约为0.4,而图2-3则展示了一个相关度更高的例子,约为0.75。

?
推荐系统初探之一  —— 寻觅相似的用户

?

?????? 在采用皮尔逊方法进行评价时,我们还能发现一点,就是它可以修正评分者评分习惯对结果的影响。举个例子,2-3中,Jack对每部电影的评分都明显高于Lisa:我们可以认为Jack很慷慨,习惯打高分;而
Lisa比较吝啬,喜欢打低分。不过在皮尔逊相关度的计算中,这并不是问题,因为虽然两人的评分习惯不同,但大体的相关性还是显而易见的。然而,在欧几里得距离的计算中,结果就完全不同了——实际结果中两人的欧几里得距离会很大,因为他们在每一维中都有很大的分差,即使他们的品味是那么相似。因此,在这个场景中,皮尔逊方法显然更合适。

?????? 逊相关度评价的算法函数如下:

>>> reload(recommendations)>>> sim_pearson(recommendations.critics, 'Lisa Rose', 'Gene Seymour')0.39605901719066977

?

???????至此,我们已经掌握了相似度评价的两大神器——欧几里得距离皮尔逊相关度,怎么样?是不是没有想象中的那么难?嘿嘿,不要走开,后面的内容更精彩,下篇博客,我们将走进真正的机器推荐系统,向 Toby 推荐电影,请君拭目以待吧!

?

?

?

?

热点排行