0023算法笔记——哈夫曼编码问题
1、问题描述
哈夫曼编码是广泛地用于数据文件压缩的十分有效的编码方法。其压缩率通常在20%~90%之间。哈夫曼编码算法用字符在文件中出现的频率表来建立一个用0,1串表示各字符的最优表示方式。一个包含100,000个字符的文件,各字符出现频率不同,如下表所示。

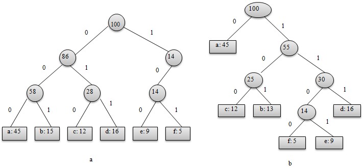
有多种方式表示文件中的信息,若用0,1码表示字符的方法,即每个字符用唯一的一个0,1串表示。若采用定长编码表示,则需要3位表示一个字符,整个文件编码需要300,000位;若采用变长编码表示,给频率高的字符较短的编码;频率低的字符较长的编码,达到整体编码减少的目的,则整个文件编码需要(45×1+13×3+12×3+16×3+9×4+5×4)×1000=224,000位,由此可见,变长码比定长码方案好,总码长减小约25%。
前缀码:对每一个字符规定一个0,1串作为其代码,并要求任一字符的代码都不是其他字符代码的前缀。这种编码称为前缀码。编码的前缀性质可以使译码方法非常简单;例如001011101可以唯一的分解为0,0,101,1101,因而其译码为aabe。
译码过程需要方便的取出编码的前缀,因此需要表示前缀码的合适的数据结构。为此,可以用二叉树作为前缀码的数据结构:树叶表示给定字符;从树根到树叶的路径当作该字符的前缀码;代码中每一位的0或1分别作为指示某节点到左儿子或右儿子的“路标”。

从上图可以看出,表示最优前缀码的二叉树总是一棵完全二叉树,即树中任意节点都有2个儿子。图a表示定长编码方案不是最优的,其编码的二叉树不是一棵完全二叉树。在一般情况下,若C是编码字符集,表示其最优前缀码的二叉树中恰有|C|个叶子。每个叶子对应于字符集中的一个字符,该二叉树有|C|-1个内部节点。
给定编码字符集C及频率分布f,即C中任一字符c以频率f(c)在数据文件中出现。C的一个前缀码编码方案对应于一棵二叉树T。字符c在树T中的深度记为dT(c)。dT(c)也是字符c的前缀码长。则平均码长定义为:
使平均码长达到最小的前缀码编码方案称为C的最优前缀码。
2、构造哈弗曼编码
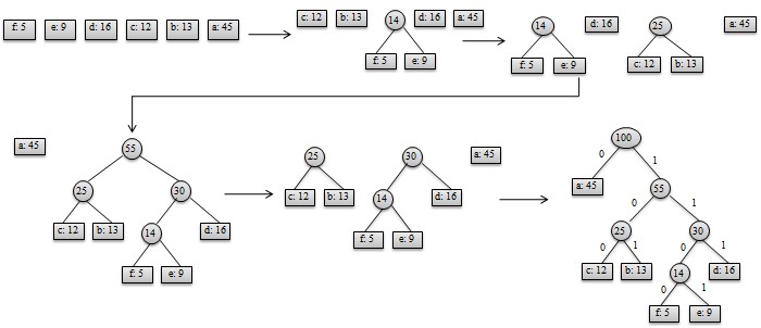
哈夫曼提出构造最优前缀码的贪心算法,由此产生的编码方案称为哈夫曼编码。其构造步骤如下:
(1)哈夫曼算法以自底向上的方式构造表示最优前缀码的二叉树T。
(2)算法以|C|个叶结点开始,执行|C|-1次的“合并”运算后产生最终所要求的树T。
(3)假设编码字符集中每一字符c的频率是f(c)。以f为键值的优先队列Q用在贪心选择时有效地确定算法当前要合并的2棵具有最小频率的树。一旦2棵具有最小频率的树合并后,产生一棵新的树,其频率为合并的2棵树的频率之和,并将新树插入优先队列Q。经过n-1次的合并后,优先队列中只剩下一棵树,即所要求的树T。
构造过程如图所示:

具体代码实现如下:
(1)4d4.cpp,程序主文件
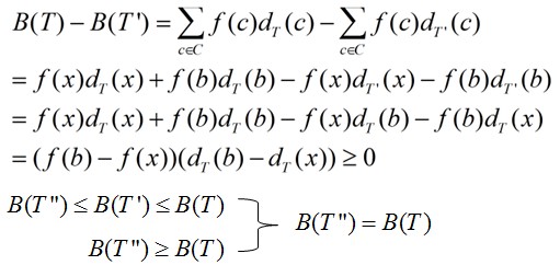
由此可知,树T和T'的前缀码的平均码长之差为:
因此,T''表示的前缀码也是最优前缀码,且x,y具有相同的码长,同时,仅最优一位编码不同。
4、最优子结构性质
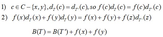
二叉树T表示字符集C的一个最优前缀码,x和y是树T中的两个叶子且为兄弟,z是它们的父亲。若将z当作是具有频率f(z)=f(x)+f(y)的字符,则树T’=T-{x,y}表示字符集C’=C-{x, y} ∪ { z}的一个最优前缀码。因此,有:
如果T’不是C’的最优前缀码,假定T”是C’的最优前缀码,那么有
,显然T”’是比T更优的前缀码,跟前提矛盾!故T'所表示的C'的前缀码是最优的。
由贪心选择性质和最优子结构性质可以推出哈夫曼算法是正确的,即HuffmanTree产生的一棵最优前缀编码树。
程序运行结果如图: