首页 诗词 字典 板报 句子 名言 友答 励志 学校 网站地图
当前位置: 首页 > 教程频道 > 开发语言 > 编程 >

图像编程学习札记8——图像的平滑(去噪)

2013-03-29 
图像编程学习笔记8——图像的平滑(去噪)第一种方法:高斯模版以下文字内容copy于数字图像处理编程入门,co

图像编程学习笔记8——图像的平滑(去噪)
第一种方法:高斯模版

以下文字内容copy于<<数字图像处理编程入门>>,code为自己实现,是win32控制台程序。

先举个例子说明一下什么是平滑(smoothing),如下面两幅图所示:可以看到,图3.2比图3.1柔和一些(也模糊一些)。是不是觉得很神奇?其实实现起来很简单。我们将原图中的每一点的灰度和它周围八个点的灰度相加,然后除以9,作为新图中对应点的灰度,就能实现上面的效果。

图像编程学习札记8——图像的平滑(去噪)

这么做并非瞎蒙,而是有其道理的。大概想一想,也很容易明白。举个例子,就象和面一样,先在中间加点水,然后不断把周围的面和进来,搅拌几次,面就均匀了。

用信号处理的理论来解释,这种做法实现的是一种简单的低通滤波器(low pass filter)。哇,好深奥呀!不要紧,这些理论的内容并不多,而且知道一些理论也是很有好处的。在灰度连续变化的图象中,如果出现了与相邻象素的灰度相差很大的点,比如说一片暗区中突然出现了一个亮点,人眼能很容易觉察到。就象看老电影时,由于胶片太旧,屏幕上经常会出现一些亮斑。这种情况被认为是一种噪声。灰度突变在频域中代表了一种高频分量,低通滤波器的作用就是滤掉高频分量,从而达到减少图象噪声的目的。

为了方便地叙述上面所说的“将原图中的每一点的灰度和它周围八个点的灰度相加,然后除以9,作为新图中对应点的灰度”这一操作,我们采用如下的表示方法:

图像编程学习札记8——图像的平滑(去噪)(3.1)

这种表示方法有点象矩阵,我们称其为模板(template)。中间的黑点表示中心元素,即,用哪个元素做为处理后的元素。例如[2. 1]表示将自身的2倍加上右边的元素作为新值,而[2 1.]表示将自身加上左边元素的2倍作为新值。

通常,模板不允许移出边界,所以结果图象会比原图小,例如模板是图像编程学习札记8——图像的平滑(去噪),原图是图像编程学习札记8——图像的平滑(去噪),经过模板操作后的图象为图像编程学习札记8——图像的平滑(去噪);其中数字代表灰度,x表示边界上无法进行模板操作的点,通常的做法是复制原图的灰度,不进行任何处理。

模板操作实现了一种邻域运算(NeighborhoodOperation),即某个象素点的结果灰度不仅和该象素灰度有关,而且和其邻域点的值有关。在以后介绍的细化算法中,我们还将接触到邻域运算。模板运算的数学涵义是一种卷积(或互相关)运算,你不需要知道卷积的确切含义,只要有这么一个概念就可以了。

模板运算在图象处理中经常要用到,可以看出,它是一项非常耗时的运算。以

                                                                                        图像编程学习札记8——图像的平滑(去噪)(3.2)

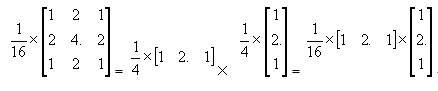
为例,每个象素完成一次模板操作要用9个乘法、8个加法、1个除法。对于一幅n×n(宽度×高度)的图象,就是9n2个乘法,8n2个加法和n2个除法,算法复杂度为O(n2),这对于大图象来说,是非常可怕的。所以,一般常用的模板并不大,如3×3,4×4。有很多专用的图象处理系统,用硬件来完成模板运算,大大提高了速度。另外,可以设法将二维模板运算转换成一维模板运算,对速度的提高也是非常可观的。例如,(3.2)式可以分解成一个水平模板和一个垂直模板,即,

图像编程学习札记8——图像的平滑(去噪)

(3.3)

我们来验证一下。

设图象为 图像编程学习札记8——图像的平滑(去噪),经过(3.2)式处理后变为图像编程学习札记8——图像的平滑(去噪),经过(3.3)式处理后变为图像编程学习札记8——图像的平滑(去噪),两者完全一样。如果计算时不考虑周围一圈的象素,前者做了4×(9个乘法,8个加法,1个除法),共36个乘法,32个加法,4个除法;后者做了4×(3个乘法,2个加法)+4×(3个乘法,2个加法)+4个除法,共24个乘法,16个加法,4个除法,运算简化了不少,如果是大图,效率的提高将是非常客观的。

平滑模板的思想是通过将一点和周围8个点作平均,从而去除突然变化的点,滤掉噪声,其代价是图象有一定程度的模糊。上面提到的模板(3.1),就是一种平滑模板,称之为Box模板。Box模板虽然考虑了邻域点的作用,但并没有考虑各点位置的影响,对于所有的9个点都一视同仁,所以平滑的效果并不理想。实际上我们可以想象,离某点越近的点对该点的影响应该越大,为此,我们引入了加权系数,将原来的模板改造成图像编程学习札记8——图像的平滑(去噪),可以看出,距离越近的点,加权系数越大。

新的模板也是一个常用的平滑模板,称为高斯(Gauss)模板。为什么叫这个名字,这是因为这个模板是通过采样2维高斯函数得到的。

设图象为 图像编程学习札记8——图像的平滑(去噪),分别用两种平滑模板处理(周围一圈象素直接从原图拷贝)。采用Box模板的结果为图像编程学习札记8——图像的平滑(去噪),采用高斯模板的结果为图像编程学习札记8——图像的平滑(去噪)

可以看到,原图中出现噪声的区域是第2行第2列和第3行第2列,灰度从2一下子跳到了6,用Box模板处理后,灰度从3.11跳到4.33;用高斯模板处理后,灰度从3.跳到4.56,都缓和了跳变的幅度,从这一点上看,两者都达到了平滑的目的。但是,原图中的第3,第4行总的来说,灰度值是比较高的,经模板1处理后,第3行第2列元素的灰度变成了4.33,与第3,第4行的总体灰度相比偏小,另外,原图中第3行第2列元素的灰度为6,第3行第3列元素的灰度为4,变换后,后者4.56反而比前者4.33大了。而采用高斯模板没有出现这些问题,究其原因,就是因为它考虑了位置的影响。

举个实际的例子:下图中,从左到右分别是原图,用高斯模板处理的图,用Box模板处理的图,可以看出,采用高斯模板,在实现平滑效果的同时,要比Box模板清晰一些。

图像编程学习札记8——图像的平滑(去噪)

功能实现函数代码:

double tem[9] = {1.0,2.0,1.0,2.0,4.0,2.0,1.0,2.0,1.0};void smooth(){int height = bmpInfoHeader.biHeight;   int width = bmpInfoHeader.biWidth;  int imgSize = bmpInfoHeader.biSizeImage;int lineByte = (width * 8 +31) / 32 * 4;  //每行像素所占字节数//处理是基于原图的,所以原图的数据不能改变,用pNewBmpData存储改变之后的数据memcpy(pNewBmpData,pBmpData,imgSize);   //把原图数据复制给pNewBmpDatadouble sum;for(int i = 1; i < height - 1; i++ ){for(int j = 1; j < width - 1; j++ ){sum = 0;    //清零sum += (double)(*(pBmpData + (i-1) * lineByte + j - 1)) * tem[0];   //该点左下角sum += (double)(*(pBmpData + (i-1) * lineByte + j)) * tem[1];//下sum += (double)(*(pBmpData + (i-1) * lineByte + j + 1)) * tem[2];  //右下sum += (double)(*(pBmpData + i * lineByte + j - 1)) * tem[3];  //左sum += (double)(*(pBmpData + i * lineByte + j)) * tem[4];  //该点位置sum += (double)(*(pBmpData + i * lineByte + j + 1)) * tem[5];  //右sum += (double)(*(pBmpData + (i+1) * lineByte + j - 1)) * tem[6];  //左上sum += (double)(*(pBmpData + (i+1) * lineByte + j)) * tem[7];   //上sum += (double)(*(pBmpData + (i+1) * lineByte + j + 1)) * tem[8];  //右上*(pNewBmpData + i * lineByte + j) = (unsigned char)(sum / 16.0);   }}}


热点排行