首页 诗词 字典 板报 句子 名言 友答 励志 学校 网站地图
当前位置: 首页 > 教程频道 > 开发语言 > 编程 >

OpenCV学习札记(29)KAZE 算法原理与源码分析(三)特征检测与描述

2013-03-27 
OpenCV学习笔记(29)KAZE 算法原理与源码分析(三)特征检测与描述 KAZE系列笔记:1.OpenCV学习笔记(27)KAZE

OpenCV学习笔记(29)KAZE 算法原理与源码分析(三)特征检测与描述

 

KAZE系列笔记:

1.  OpenCV学习笔记(27)KAZE 算法原理与源码分析(一)非线性扩散滤波

2.  OpenCV学习笔记(28)KAZE 算法原理与源码分析(二)非线性尺度空间构建

3.  OpenCV学习笔记(29)KAZE 算法原理与源码分析(三)特征检测与描述

4.  OpenCV学习笔记(30)KAZE 算法原理与源码分析(四)KAZE特征的性能分析与比较

 

 

 

=============================================================================== 

KAZE算法资源:

1.  论文:  http://www.robesafe.com/personal/pablo.alcantarilla/papers/Alcantarilla12eccv.pdf

2.  项目主页:http://www.robesafe.com/personal/pablo.alcantarilla/kaze.html

3.  作者代码:http://www.robesafe.com/personal/pablo.alcantarilla/code/kaze_features_1_4.tar
(需要boost库,另外其计时函数的使用比较复杂,可以用OpenCV的cv::getTickCount代替)

4.  Computer Vision Talks的评测:http://computer-vision-talks.com/2013/03/porting-kaze-features-to-opencv/

5.  Computer Vision Talks 博主Ievgen Khvedchenia将KAZE集成到OpenCV的cv::Feature2D类,但需要重新编译OpenCV,并且没有实现算法参数调整和按Mask过滤特征点的功能:https://github.com/BloodAxe/opencv/tree/kaze-features

6.  我在Ievgen的项目库中提取出KAZE,封装成继承cv::Feature2D的类,无需重新编译OpenCV,实现了参数调整和Mask过滤的功能: https://github.com/yuhuazou/kaze_opencv

7.  Matlab 版的接口程序,封装了1.0版的KAZE代码:https://github.com/vlfeat/vlbenchmarks/blob/unstable/%2BlocalFeatures/Kaze.m

=============================================================================== 

 

2.2.2 特征点检测

KAZE的特征点检测与SIFT类似,是通过寻找不同尺度归一化后的Hessian局部极大值点来实现的。Hessian矩阵的计算如下:

OpenCV学习札记(29)KAZE 算法原理与源码分析(三)特征检测与描述                         

其中σ是尺度参数σi的整数值。在寻找极值点时,每一个像素点和它所有的相邻点比较,当其大于它的图像域和尺度域的所有相邻点时,即为极值点。理论上其比较的范围是当前尺度、上一尺度和下一尺度上的3个大小为σi×σi的矩形窗口。不过为了加快搜索速度,窗口大小固定为3×3,则搜索空间是一个边长为3像素的立方体:中间的检测点和它同尺度的8个相邻点,以及和上下相邻尺度对应的9×2个点——共26个点比较,以确保在尺度空间和二维图像空间都检测到极值点。

OpenCV学习札记(29)KAZE 算法原理与源码分析(三)特征检测与描述 

KAZE 特征点的类定义如下:

// Ipoint Class Declarationclass Ipoint{public:// 特征点的浮点坐标和整数坐标(Coordinates of the detected interest point)float xf,yf;// Float coordinates        int x,y;        // Integer coordinates        // 特征点的尺度级别,σ为单位(Detected scale of the interest point (sigma units))float scale;        // 图像尺度参数的整数值(Size of the image derivatives (pixel units))int sigma_size;        // 特征检测响应值(Feature detector response)float dresponse;// 进化时间(Evolution time)float tevolution;// 特征点所属的Octave组(Octave of the keypoint)float octave;// 特征点所属的层级(Sublevel in each octave of the keypoint)float sublevel;// 特征点的描述向量(Descriptor vector and size)std::vector<float> descriptor;int descriptor_size;// 特征点的主方向(Main orientation)float angle;// 描述向量类型(Descriptor mode)int descriptor_mode;// 拉普拉斯标志值(Sign of the laplacian (for faster matching))int laplacian;// 进化级别(Evolution Level)unsigned int level;// ConstructorIpoint(void);};


可见KAZE特征点Ipoint的结构与OpenCV的KeyPoint类相比多了很多参数,为了方便在OpenCV中调用,需要构造Ipoint与KeyPoint的转换函数。具体如下:

 

/*** *Convertions between cv::Keypoint and KAZE::Ipoint */    static inline void convertPoint(const cv::KeyPoint& kp, Ipoint& aux)    {        aux.xf = kp.pt.x;        aux.yf = kp.pt.y;        aux.x = fRound(aux.xf);        aux.y = fRound(aux.yf);        //cout << "SURF size: " << kpts_surf1_[i].size*.5 << endl;        aux.octave = kp.octave;        // Get the radius for visualization        aux.scale = kp.size*.5/2.5;        aux.angle = DEGREE_TO_RADIAN(kp.angle);        //aux.descriptor_size = 64;    }    static inline void convertPoint(const Ipoint& src, cv::KeyPoint& kp)    {        kp.pt.x = src.xf;        kp.pt.y = src.yf;        kp.angle    = RADIAN_TO_DEGREE(src.angle);        kp.response = src.dresponse;        kp.octave = src.octave;            kp.size = src.scale;    }

 

值得注意的是,KAZE特征点的描述向量需要用到 Ipoint 的一个关键参数 level ,即特征点在非线性尺度空间中所处的进化级别。这个参数是 OpenCV 其它特征检测算法没有的。因此,KAZE 特征点可以使用其它特征描述算法来表征,但其它特征检测算法生成的关键点却无法用 KAZE 描述向量来表征

 

在具体计算时,首先生成每个像素点在各个层级的检测响应,获得像素点的Hessian行列式值,然后再寻找局部极大值。具体代码如下:

//*************************************************************************************//*************************************************************************************/** * @brief This method selects interesting keypoints through the nonlinear scale space*/void KAZE::Feature_Detection(std::vector<Ipoint> &kpts){if( verbosity == true ){std::cout << "\n> Detecting features. " << std::endl;}    int64 t1 = cv::getTickCount();// Firstly compute the detector response for each pixel and scale levelCompute_Detector_Response();// Find scale space extremaDeterminant_Hessian_Parallel(kpts);// Perform some subpixel refinement    if( SUBPIXEL_REFINEMENT == true ){        Do_Subpixel_Refinement(kpts);    }    int64 t2 = cv::getTickCount();tdetector = 1000.0*(t2-t1) / cv::getTickFrequency();if( verbosity == true ){std::cout << "> Feature detection done. Execution time (ms): " << tdetector << std::endl;}}//*************************************************************************************//*************************************************************************************/** * @brief This method computes the feature detector response for the nonlinear scale space * @note We use the Hessian determinant as feature detector*/void KAZE::Compute_Detector_Response(void){float lxx = 0.0, lxy = 0.0, lyy = 0.0;    float *ptr;    int64 t1 = cv::getTickCount();// Firstly compute the multiscale derivativesCompute_Multiscale_Derivatives();    for( unsigned int i = 0; i < evolution.size(); i++ ){// Determinant of the Hessianif( verbosity == true ){std::cout << "--> Computing Hessian determinant. Evolution time: " << evolution[i].etime << std::endl;}for( int ix = 0; ix < img_height; ix++ ){for( int jx = 0; jx < img_width; jx++ ){// Get values of lxx,lxy,and lyy                ptr = evolution[i].Lxx.ptr<float>(ix);                lxx = ptr[jx];                ptr = evolution[i].Lxy.ptr<float>(ix);                lxy = ptr[jx];                ptr = evolution[i].Lyy.ptr<float>(ix);                lyy = ptr[jx];// Compute ldet                ptr = evolution[i].Ldet.ptr<float>(ix);                ptr[jx] = (lxx*lyy-lxy*lxy);}        }}    int64 t2 = cv::getTickCount();tdresponse = 1000.0 * (t2-t1) / cv::getTickFrequency();if( verbosity == true ){std::cout << "-> Computed detector response. Execution time (ms): " << tdresponse << std::endl;}}//*************************************************************************************//*************************************************************************************/** * @brief This method performs the detection of keypoints by using the normalized * score of the Hessian determinant through the nonlinear scale space * @note We compute features for each of the nonlinear scale space level in a different processing thread*/void KAZE::Determinant_Hessian_Parallel(std::vector<Ipoint> &kpts){int64 t1 = cv::getTickCount();unsigned int level = 0;float dist = 0.0, smax = 3.0;int npoints = 0, id_repeated = 0;int left_x = 0, right_x = 0, up_y = 0, down_y = 0;    bool is_extremum = false, is_repeated = false, is_out = false;// Delete the memory of the vector of keypoints vectors// In case we use the same kaze object for multiple imagesfor( unsigned int i = 0; i < kpts_par.size(); i++ ){vector<Ipoint>().swap(kpts_par[i]);}kpts_par.clear();vector<Ipoint> aux;    // Create multi-thread//boost::thread_group mthreads;// Allocate memory for the vector of vectorsfor( unsigned int i = 1; i < evolution.size()-1; i++ ){kpts_par.push_back(aux);}// Find extremum at each scale levelfor( unsigned int i = 1; i < evolution.size()-1; i++ ){if( verbosity == true ){std::cout << "--> Finding scale space extrema. Evolution time: " << evolution[i].etime << std::endl;}// Create the thread for finding extremum at i scale level//mthreads.create_thread(boost::bind(&KAZE::Find_Extremum_Threading,this,i));        Find_Extremum_Threading(i);}// Wait for the threads    //mthreads.join_all();// Now fill the vector of keypoints!!!if( verbosity == true ){std::cout << "--> Fill the vector of keypoints. " << std::endl;}for( unsigned int i = 0; i < kpts_par.size(); i++ ){for( unsigned int j = 0; j < kpts_par[i].size(); j++ ){level = i+1;is_extremum = true;is_repeated = false;is_out = false;// Check in case we have the same point as maxima in previous evolution levels (ONLY work when kpts is not empty)for( unsigned int ik = 0; ik < kpts.size(); ik++ ){ if( kpts[ik].level == level || kpts[ik].level == level+1 || kpts[ik].level == level-1 ) { dist = pow(kpts_par[i][j].xf-kpts[ik].xf,2)+pow(kpts_par[i][j].yf-kpts[ik].yf,2);  if( dist < evolution[level].sigma_size*evolution[level].sigma_size ) { if( kpts_par[i][j].dresponse > kpts[ik].dresponse ) { id_repeated = ik; is_repeated = true; } else { is_extremum = false; }  break;} }}if( is_extremum == true ){// Check that the point is under the image limits for the descriptor computationleft_x = fRound(kpts_par[i][j].xf-smax*kpts_par[i][j].scale);right_x = fRound(kpts_par[i][j].xf+smax*kpts_par[i][j].scale);up_y = fRound(kpts_par[i][j].yf-smax*kpts_par[i][j].scale);down_y = fRound(kpts_par[i][j].yf+smax*kpts_par[i][j].scale);if( left_x < 0 || right_x > evolution[level].Ldet.cols || up_y < 0 || down_y > evolution[level].Ldet.rows){is_out = true;}if( is_out == false ){                    if( is_repeated == false )                    {                        kpts.push_back(kpts_par[i][j]);                        npoints++;                    }                    else                    {                        kpts[id_repeated] = kpts_par[i][j];                    }}}}}int64 t2 = cv::getTickCount();double thessian  = 1000.0 * (t2-t1) / cv::getTickFrequency();if( verbosity == true ){std::cout << "-> Computed Hessian determinant. Execution time (ms):" << thessian << std::endl;}}//*************************************************************************************//*************************************************************************************/** * @brief This method is called by the thread which is responsible of finding extrema * at a given nonlinear scale level * @param level Index in the nonlinear scale space evolution*/void KAZE::Find_Extremum_Threading(int level){    float value = 0.0;bool is_extremum = false;for( int ix = 1; ix < img_height-1; ix++ ){for( int jx = 1; jx < img_width-1; jx++ ){is_extremum = false;            value = *(evolution[level].Ldet.ptr<float>(ix)+jx);// Filter the points with the detector threshold            if( value > dthreshold && value >= DEFAULT_MIN_DETECTOR_THRESHOLD ){                if( value >= *(evolution[level].Ldet.ptr<float>(ix)+jx-1) ){// First check on the same scaleif( Check_Maximum_Neighbourhood(evolution[level].Ldet,1,value,ix,jx,1)){// Now check on the lower scaleif( Check_Maximum_Neighbourhood(evolution[level-1].Ldet,1,value,ix,jx,0) ){// Now check on the upper scaleif( Check_Maximum_Neighbourhood(evolution[level+1].Ldet,1,value,ix,jx,0) ){is_extremum = true;}}}}}// Add the point of interest!!if( is_extremum == true ){Ipoint point;point.xf = jx;point.yf = ix;point.x = jx;point.y = ix;point.dresponse = fabs(value);point.scale = evolution[level].esigma;point.sigma_size = evolution[level].sigma_size;point.tevolution = evolution[level].etime;point.octave = evolution[level].octave;point.sublevel = evolution[level].sublevel;point.level = level;point.descriptor_mode = descriptor_mode;point.angle = 0.0;// Set the sign of the laplacian                if( (*(evolution[level].Lxx.ptr<float>(ix)+jx) + *(evolution[level].Lyy.ptr<float>(ix)+jx)) > 0 ){point.laplacian = 0;}else{point.laplacian = 1;}kpts_par[level-1].push_back(point);}}}}


 

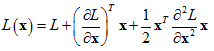
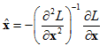
在找到特征点的位置后,再进行亚像素的精确定位,采用的是Lowe在BMVC2002提出的方法[6]。即根据Taylor展开式:

 OpenCV学习札记(29)KAZE 算法原理与源码分析(三)特征检测与描述                     

特征点的亚像素坐标的解为:

OpenCV学习札记(29)KAZE 算法原理与源码分析(三)特征检测与描述                             

具体的实现代码如下:

//*************************************************************************************//*************************************************************************************/** * @brief This method performs subpixel refinement of the detected keypoints*/void KAZE::Do_Subpixel_Refinement(std::vector<Ipoint> &keypts){float Dx = 0.0, Dy = 0.0, Ds = 0.0, dsc = 0.0;float Dxx = 0.0, Dyy = 0.0, Dss = 0.0, Dxy = 0.0, Dxs = 0.0, Dys = 0.0;int x = 0, y = 0, step = 1;cv::Mat A = cv::Mat::zeros(3,3,CV_32F);cv::Mat b = cv::Mat::zeros(3,1,CV_32F);cv::Mat dst = cv::Mat::zeros(3,1,CV_32F);    int64 t1 = cv::getTickCount();for( unsigned int i = 0; i < keypts.size(); i++ ){ x = keypts[i].x; y = keypts[i].y;          // Compute the gradient         Dx = (1.0/(2.0*step))*(*(evolution[keypts[i].level].Ldet.ptr<float>(y)+x+step)                               -*(evolution[keypts[i].level].Ldet.ptr<float>(y)+x-step));         Dy = (1.0/(2.0*step))*(*(evolution[keypts[i].level].Ldet.ptr<float>(y+step)+x)                               -*(evolution[keypts[i].level].Ldet.ptr<float>(y-step)+x));         Ds = 0.5*(*(evolution[keypts[i].level+1].Ldet.ptr<float>(y)+x)                  -*(evolution[keypts[i].level-1].Ldet.ptr<float>(y)+x));         // Compute the Hessian         Dxx = (1.0/(step*step))*(*(evolution[keypts[i].level].Ldet.ptr<float>(y)+x+step)                                + *(evolution[keypts[i].level].Ldet.ptr<float>(y)+x-step)                                -2.0*(*(evolution[keypts[i].level].Ldet.ptr<float>(y)+x)));         Dyy = (1.0/(step*step))*(*(evolution[keypts[i].level].Ldet.ptr<float>(y+step)+x)                                + *(evolution[keypts[i].level].Ldet.ptr<float>(y-step)+x)                                -2.0*(*(evolution[keypts[i].level].Ldet.ptr<float>(y)+x)));         Dss = *(evolution[keypts[i].level+1].Ldet.ptr<float>(y)+x)               + *(evolution[keypts[i].level-1].Ldet.ptr<float>(y)+x)              -2.0*(*(evolution[keypts[i].level].Ldet.ptr<float>(y)+x));         Dxy = (1.0/(4.0*step))*(*(evolution[keypts[i].level].Ldet.ptr<float>(y+step)+x+step)                               +(*(evolution[keypts[i].level].Ldet.ptr<float>(y-step)+x-step)))               -(1.0/(4.0*step))*(*(evolution[keypts[i].level].Ldet.ptr<float>(y-step)+x+step)                                +(*(evolution[keypts[i].level].Ldet.ptr<float>(y+step)+x-step)));         Dxs = (1.0/(4.0*step))*(*(evolution[keypts[i].level+1].Ldet.ptr<float>(y)+x+step)                               +(*(evolution[keypts[i].level-1].Ldet.ptr<float>(y)+x-step)))              -(1.0/(4.0*step))*(*(evolution[keypts[i].level+1].Ldet.ptr<float>(y)+x-step)                               +(*(evolution[keypts[i].level-1].Ldet.ptr<float>(y)+x+step)));         Dys = (1.0/(4.0*step))*(*(evolution[keypts[i].level+1].Ldet.ptr<float>(y+step)+x)                               +(*(evolution[keypts[i].level-1].Ldet.ptr<float>(y-step)+x)))              -(1.0/(4.0*step))*(*(evolution[keypts[i].level+1].Ldet.ptr<float>(y-step)+x)                               +(*(evolution[keypts[i].level-1].Ldet.ptr<float>(y+step)+x)));         // Solve the linear system         *(A.ptr<float>(0)) = Dxx;         *(A.ptr<float>(1)+1) = Dyy;         *(A.ptr<float>(2)+2) = Dss;         *(A.ptr<float>(0)+1) = *(A.ptr<float>(1)) = Dxy;         *(A.ptr<float>(0)+2) = *(A.ptr<float>(2)) = Dxs;         *(A.ptr<float>(1)+2) = *(A.ptr<float>(2)+1) = Dys;         *(b.ptr<float>(0)) = -Dx;         *(b.ptr<float>(1)) = -Dy;         *(b.ptr<float>(2)) = -Ds; cv::solve(A,b,dst,cv::DECOMP_LU);         if( fabs(*(dst.ptr<float>(0))) <= 1.0             && fabs(*(dst.ptr<float>(1))) <= 1.0  && fabs(*(dst.ptr<float>(2))) <= 1.0 ) {                          keypts[i].xf += *(dst.ptr<float>(0));             keypts[i].yf += *(dst.ptr<float>(1)); keypts[i].x = fRound(keypts[i].xf); keypts[i].y = fRound(keypts[i].yf);             dsc = keypts[i].octave + (keypts[i].sublevel+*(dst.ptr<float>(2)))/((float)(DEFAULT_NSUBLEVELS));             keypts[i].scale = soffset*pow((float)2.0,dsc); } // Delete the point since its not stable else {keypts.erase(keypts.begin()+i);i--; }}int64 t2 = cv::getTickCount();tsubpixel = 1000.0*(t2-t1) / cv::getTickCount();if( verbosity == true ){std::cout << "-> Subpixel refinement done. Execution time (ms): " << tsubpixel << std::endl;}}


 

 

2.2.3 特征描述向量

(1)特征点主方向

为了实现图像旋转不变性,需要根据特征点的局部图像结构来确定其主方向。这里作者所用的方法与SURF相似,即若特征点的尺度参数为σi,则搜索半径设为6σi。对搜索圈内所有邻点的一阶微分值Lx和Ly通过高斯加权,使得靠近特征点的响应贡献大,而远离特征点的响应贡献小;将这些微分值视作向量空间中的点集,在一个角度为60°的扇形滑动窗口内对点集进行向量叠加,遍历整个圆形区域。获得最长向量的角度就是主方向。

OpenCV学习札记(29)KAZE 算法原理与源码分析(三)特征检测与描述 

寻找主方向的实现代码如下:

//*************************************************************************************//*************************************************************************************/** * @brief This method computes the main orientation for a given keypoint * @param kpt Input keypoint * @note The orientation is computed using a similar approach as described in the * original SURF method. See Bay et al., Speeded Up Robust Features, ECCV 2006*/void KAZE::Compute_Main_Orientation_SURF(Ipoint &kpt){int ix = 0, iy = 0, idx = 0, s = 0;unsigned int level = kpt.level;float xf = 0.0, yf = 0.0, gweight = 0.0;std::vector<float> resX(109), resY(109), Ang(109); // 109 is the maximum grids of size 1 in a circle of radius 6    // Variables for computing the dominant direction     float sumX = 0.0, sumY = 0.0, max = 0.0, ang1 = 0.0, ang2 = 0.0;// Get the information from the keypointxf = kpt.xf;yf = kpt.yf;s = kpt.scale;// Calculate derivatives responses for points within radius of 6*scalefor(int i = -6; i <= 6; ++i) {for(int j = -6; j <= 6; ++j) {if(i*i + j*j < 36) // the grid is in the circle{iy = fRound(yf + j*s);ix = fRound(xf + i*s);if( iy >= 0 && iy < img_height && ix >= 0 && ix < img_width ){gweight = gaussian(iy-yf,ix-xf,3.5*s);                    resX[idx] = gweight*(*(evolution[level].Lx.ptr<float>(iy)+ix));                    resY[idx] = gweight*(*(evolution[level].Ly.ptr<float>(iy)+ix));}else{resX[idx] = 0.0;resY[idx] = 0.0;}Ang[idx] = Get_Angle(resX[idx],resY[idx]);++idx;}}}  // Loop slides pi/3 window around feature point  for( ang1 = 0; ang1 < M2_PI;  ang1+=0.15f)  {ang2 =(ang1+PI/3.0f > M2_PI ? ang1-5.0f*PI/3.0f : ang1+PI/3.0f);sumX = sumY = 0.f;     for( unsigned int k = 0; k < Ang.size(); ++k)     {// Get angle from the x-axis of the sample pointconst float & ang = Ang[k];// Determine whether the point is within the windowif( ang1 < ang2 && ang1 < ang && ang < ang2) {sumX+=resX[k];  sumY+=resY[k];} else if (ang2 < ang1 && ((ang > 0 && ang < ang2) || (ang > ang1 && ang < M2_PI) )) {sumX+=resX[k];  sumY+=resY[k];}    }    // if the vector produced from this window is longer than all     // previous vectors then this forms the new dominant direction    if( sumX*sumX + sumY*sumY > max )     {// store largest orientationmax = sumX*sumX + sumY*sumY;kpt.angle = Get_Angle(sumX, sumY);    }  }}


 

 

(2)构造特征描述向量

在论文中作者使用M-SURF来描述特征点。对于尺度参数为σi的特征点,在梯度图像上以特征点为中心取一个24σi×24σi的窗口,并将窗口划分为4×4个子区域,每个子区域大小为9σi×9σi,相邻的子区域有宽度为2σi的交叠带。每个子区域都用一个高斯核(σ1 =2.5σi)进行加权,然后计算出长度为4的子区域描述向量:

OpenCV学习札记(29)KAZE 算法原理与源码分析(三)特征检测与描述                      

再通过另一个大小为4×4的高斯窗口(σ2 =1.5σi)对每个子区域的向量dv进行加权,最后进行归一化处理。这样就得到了4×4×4=64维的描述向量。

 

在实现代码中,作者提供了SURF、M-SURF和G-SURF三种描述向量,其中G-SURF是作者在2013年发表的论文[7]中提出的新的特征描述算法。另外,作者还提供了这三种向量的简化计算版本,即将主方向固定为右上方up-right,然后再计算描述向量。默认使用的是64位的M-SURF描述向量,其源码如下:

 

//*************************************************************************************//*************************************************************************************/** * @brief This method computes the descriptor of the provided keypoint given the * main orientation of the keypoint * @param kpt Input keypoint * @note Rectangular grid of 24 s x 24 s. Descriptor Length 64. The descriptor is inspired * from Agrawal et al., CenSurE: Center Surround Extremas for Realtime Feature Detection and Matching, * ECCV 2008*/void KAZE::Get_MSURF_Descriptor_64(Ipoint &kpt){  float scale = 0.0, dx = 0.0, dy = 0.0, mdx = 0.0, mdy = 0.0, gauss_s1 = 0.0, gauss_s2 = 0.0;  float rx = 0.0, ry = 0.0, rrx = 0.0, rry = 0.0, len = 0.0, xf = 0.0, yf = 0.0, ys = 0.0, xs = 0.0;  float sample_x = 0.0, sample_y = 0.0, co = 0.0, si = 0.0, angle = 0.0;  float fx = 0.0, fy = 0.0, res1 = 0.0, res2 = 0.0, res3 = 0.0, res4 = 0.0;  int x1 = 0, y1 = 0, x2 = 0, y2 = 0, sample_step = 0, pattern_size = 0;  int kx = 0, ky = 0, i = 0, j = 0, dcount = 0;  int dsize = 0, level = 0;    // Subregion centers for the 4x4 gaussian weighting  float cx = -0.5, cy = 0.5;     // Set the descriptor size and the sample and pattern sizes  dsize = kpt.descriptor_size = 64;  sample_step = 5;  pattern_size = 12;  // Get the information from the keypoint  yf = kpt.yf;  xf = kpt.xf;  scale = kpt.scale;  angle = kpt.angle;  level = kpt.level;  co = cos(angle);  si = sin(angle);    // Allocate the memory for the vector  kpt.descriptor = vector<float>(kpt.descriptor_size);    i = -8;    // Calculate descriptor for this interest point  // Area of size 24 s x 24 s  while(i < pattern_size)  {     j = -8;     i = i-4;     cx += 1.0;     cy = -0.5; while(j < pattern_size) {        dx=dy=mdx=mdy=0.0;        cy += 1.0;j = j - 4;ky = i + sample_step;kx = j + sample_step;xs = xf + (-kx*scale*si + ky*scale*co);ys = yf + (kx*scale*co + ky*scale*si);for (int k = i; k < i + 9; ++k){for (int l = j; l < j + 9; ++l){// Get coords of sample point on the rotated axissample_y = yf + (l*scale*co + k*scale*si);sample_x = xf + (-l*scale*si + k*scale*co);  // Get the gaussian weighted x and y responsesgauss_s1 = gaussian(xs-sample_x,ys-sample_y,2.5*scale);y1 = fRound(sample_y-.5);x1 = fRound(sample_x-.5);Check_Descriptor_Limits(x1,y1,img_width,img_height);y2 = fRound(sample_y+.5);x2 = fRound(sample_x+.5);Check_Descriptor_Limits(x2,y2,img_width,img_height);fx = sample_x-x1;fy = sample_y-y1;                res1 = *(evolution[level].Lx.ptr<float>(y1)+x1);                res2 = *(evolution[level].Lx.ptr<float>(y1)+x2);                res3 = *(evolution[level].Lx.ptr<float>(y2)+x1);                res4 = *(evolution[level].Lx.ptr<float>(y2)+x2);                rx = (1.0-fx)*(1.0-fy)*res1 + fx*(1.0-fy)*res2 + (1.0-fx)*fy*res3 + fx*fy*res4;                res1 = *(evolution[level].Ly.ptr<float>(y1)+x1);                res2 = *(evolution[level].Ly.ptr<float>(y1)+x2);                res3 = *(evolution[level].Ly.ptr<float>(y2)+x1);                res4 = *(evolution[level].Ly.ptr<float>(y2)+x2);                ry = (1.0-fx)*(1.0-fy)*res1 + fx*(1.0-fy)*res2 + (1.0-fx)*fy*res3 + fx*fy*res4;// Get the x and y derivatives on the rotated axisrry = gauss_s1*(rx*co + ry*si);rrx = gauss_s1*(-rx*si + ry*co);// Sum the derivatives to the cumulative descriptordx += rrx;dy += rry;mdx += fabs(rrx);mdy += fabs(rry);}}// Add the values to the descriptor vectorgauss_s2 = gaussian(cx-2.0f,cy-2.0f,1.5f);kpt.descriptor[dcount++] = dx*gauss_s2;kpt.descriptor[dcount++] = dy*gauss_s2;kpt.descriptor[dcount++] = mdx*gauss_s2;kpt.descriptor[dcount++] = mdy*gauss_s2;len += (dx*dx + dy*dy + mdx*mdx + mdy*mdy)*gauss_s2*gauss_s2;j += 9;    }i += 9;  }  // convert to unit vector  len = sqrt(len);  for(int i = 0; i < dsize; i++)  {  kpt.descriptor[i] /= len;  }  if( USE_CLIPPING_NORMALIZATION == true )  {  Clipping_Descriptor(kpt,CLIPPING_NORMALIZATION_NITER,CLIPPING_NORMALIZATION_RATIO);  }}


在下一节,我们将介绍 KAZE 算法在 OpenCV 中的使用方法,并与其它 OpenCV 包含的特征检测算法进行简要的比较。

 

待续...

 

Ref:

[6] Brown, M., Lowe, D.: Invariant features from interest point groups. In: British Machine Vision Conf. (BMVC), Cardiff, UK (2002) http://www.cs.ubc.ca/~lowe/papers/brown02.pdf

[7] Pablo F. Alcantarilla, Luis M. Bergasa and Andrew J. Davison, Gauge-SURF Descriptors, Image and Vision Computing 31(1), 2013. http://www.robesafe.com/personal/pablo.alcantarilla/papers/Alcantarilla13imavis.pdf (Source code: http://www.robesafe.com/personal/pablo.alcantarilla/code/opengsurf_1_0.rar )

 

 

 

热点排行