重温傅里叶--深入篇1--傅里叶级数与傅里叶变换的关系以及频谱图的介绍
在读本文前,请先大致浏览一下笔记篇里的东西,下面使用的符号及其意义都跟笔记篇里是一致的。笔记篇里记录的大都是基础的公式,教科书上都可以找到。
(抱歉,刚发现有点小错误:在式(6-4)和式(11)里,积分项中的“dx”都应改为“dω”,由于改图不太好改,就只在这里说明了。请读者看的时候注意)
为了下面叙述方便,我先做几点约定和说明:
本文中提到的傅里叶级数都是复数形式的级数,下标n都是负无穷到正无穷;
对于笔记篇里经常出现的“ nπ/L ”,它可以看成一个角频率,用ω表示。(角频率与频率(通常用f表示)之间的关系是:ω=2πf)。(参见笔记篇中的式(3)、(4)、(6)等);
进一步,我将“π/L”称为“角基频”, 这样的话“ nπ/L ”就是n倍角基频。当周期为2π时,角基频恰好为1;
一定别搞混:cn代表的不是角频率为n的波分量的振幅,而是角频率为n倍角基频的波分量的振幅;
对于周期函数,除了角频率为整数倍(包括负整数倍)角基频的波分量振幅可以不为0外,角频率为其他值的波分量振幅都是0。(下面介绍频谱图时会再提到此事);
*对于周期L等于无穷大的函数(非周期函数),其角基频为π/L = 0 ,这样实数范围内的所有角频率都可以看成整数倍角基频了,因此非周期函数在所有的角频率处都有波分量!(就是说,频谱图由离散变得连续了)。什么,那不乱套了?如果所有的角频率都有波分量而且每个波分量都有一个不为0的振幅,那级数怎么可能收敛?还好,每个cn的表达式中都有一个 1/2L 的系数,这样周期无穷大时,所有的振幅cn也都变成“0”了,所以不会乱套,但是这么多0加一块应该还是0,怎么能凑出原来的f(x)呢?这就像对一个函数积分一样,函数在任意一个点处的积分都是0(好吧我知道这说法不科学,但是方便理解),但对一个区间积分,这么多0加起来就成了一个有限值。好了,不乱说了,越说越乱,本文就从这里开始,看完下面的几段大家就能清楚的知道是怎么一回事了。
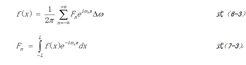
为了方便大家翻阅,我先将一会儿涉及到的几个公式重新贴一遍在这里。这些公式及公式的标号都与笔记篇中相同。

周期级数公式如式(6)和式(7)那样,我们现在要做的是,搞明白为什么周期L趋于无穷时,就会有式(9)和式(8)的结果。
好,现在我们对式(6)和式(7)进行第一步加工:将式中的“ nπ/L ”用角频率ωn来表示,代表n倍角基频。这样,会产生下面的新式子:
对比式(7-1)和式(8),发现他们右边的积分式主体部分形式几乎是一样的,只是上下限和系数不同。好吧,为了更直观的对比,我再创造一个符号,Fn,将它定义如下:
Fn = cn × 2L
这样我们就可以彻底抛弃cn 这个碍眼的符号了,全部用Fn代替。然后重写式(6)和式(7):

再拿式(7-2)和式(8)对比,会发现很让人兴奋的结果,他们的形式几乎一样!但是式(6-2)和式(9)貌似差别还不小,他们的系数一个是(1/2L),一个(1/2π)。好吧,接着来,我们再创造一个符号,Δω,定义如下:
Δω = (π/ L) (其实就是角基频的大小)
利用它来再次加工式(6):(式(7-2)不变,但还是一块列了出来)

重新对比式(6-3)和式(9),发现形式已经很相近了,只不过一个是积分一个是和式……等一下!和式?再仔细看看看式(6-3),发现这时它很像一个函数积分的和式展开式!那我们现在来构造两个函数吧:F* (ω)和ω* (ω),构造方法如下:
F*(ω) = Fn 当 [ ( n - 1/2 )Δω] < ω < [ ( n + 1/2 )Δω] 时;
ω* (ω) = ωn 当 [ ( n - 1/2 )Δω] < ω < [ ( n + 1/2 )Δω] 时;
这是两个分段跳跃函数,它们都以ω为自变量,并每隔Δω,函数值变化一次。
好吧,数字太不直观,我把F*(ω)的函数图象大致画出来方便大家理解:

上面这个阶梯状的东西就是F* (ω)的函数图象。ω* (ω)的图像也是类似的阶梯状,而且它的更简单,是一个从负无穷到正无穷逐步升高的形状(每次升高一个角基频的大小)。
这里有必要说明一下,以免误导大家:Fn 一般都是复数,只有在f(x)本身是偶函数时才是实数,因此函数F*的值也应为复数。也就是说,将F*的函数图象画成图1那样的实数形式其实是不合理的。我这样做只是为了方便大家理解(6-3)中的和式是如何变成积分式的。
好了,有了这两个函数,我们再来仔细看看式(6-3),不难看出,这个和式其实就是函数F*在(-∞,+∞)上的积分(面积)!这次我们再进一步,将上面两个式子中的Fn和ωn也都换掉,使其变成ω*和F*这两个函数之间的关系式(离成功不远了):

这就是转换后的结果。笔记篇中的式(6b)与式(7),跟现在推出的式(6-4)与式(7-4),是完全等价的,因为后面的两个就是根据前两个换算来的,只不过借助了F*(ω)和ω* (ω)这两个新构造的函数而已。
表达的意义一样,适用范围也一样(都适用于周期函数),但形式却大变!
这时再回头看看式(9)和式(8),我们终于可以松口气了,形式完全一样!好了,现在我们再看看看周期L趋于无穷时会发生什么。如果直接分析笔记篇中的式(6b)与式(7),我们会很失望,因为L趋于无穷时,它们都“退化”了,很难直接地从这两个式子中得到有用的信息(如果用这两个式子,我们所能得到的“直观”结果就是:cn 全变0了,所以f(x)是0。显然这是错的)。但我们后来创造出来的式(6-4)与式(7-4),适应环境的能力就很强了。
1. 首先,L趋于无穷时,Δω会变得越来越小直至变成0(Δω是什么?忘了?前面有,Δω = (π/ L));
2. 同时,对于ω* (ω) = ωn,由于Δω其实就是角基频,而相邻的两个ωn差就是一个角基频,根据1可知,L趋于无穷时,ω* (ω)就由阶梯跳跃变得连续了,这时ω* (ω) =ω。
3. 同时,两个 相邻的Fn,他们的差别也越来越小直至变成0,(Fn = cn × 2L ,从cn的表达式可以看出,L趋于无穷时cn本身就是一个与(1/L)同阶的无穷小量,那相邻的cn之间的差值就是比(1/L)更高阶的无穷小量,因此相邻的Fn之间的差值就趋于0了)。

OK完结,多么简单,可是以前就没想到,刚现在才开窍。
数字游戏玩完之后,我们再好好理解一下式(8)(9)中的F(ω)。从我们刚才的证明过程中,可以看到 Fn = cn×2L ,在笔记篇中我说过,cn其实就代表某个频率波分量的振幅和相位,而Fn与cn是成正比的,它的值同样可以表征一个波分量的振幅和相位。F(ω)与Fn有相同的意义,因此F(ω)的分布其实就代表了各角频率波分量的分布。具体的说:
|F(ω)| 的分布正比地体现了各个角频率波分量的振幅分布。(别忘了F(ω)是复数)
F(ω)的辐角体现了各个角频率波分量的相位分布。
我们平时所说的“频谱图”,其实指的就是| F(ω)|的函数图象,它始终是偶函数(这个就是实数了,因为我们取的是F(ω)的幅值而不是F(ω)本身)。
对于满足傅里叶变换条件的非周期函数,他们的频谱图一般都是连续的;而对于周期函数,他们的频谱则都是离散的点,只在整数倍角基频的位置有非零的频谱点存在。根据频谱图可以很容易判断该原函数是周期函数还是非周期的(看频谱图是否连续就行了),而且对于周期函数,可以从频谱图读出周期大小(相邻的离散点之间的横轴间距就是角基频,这个角频率对应的周期就是原函数的周期)。
那怎样读出每个频率的振幅呢?| F(ω)| 与振幅成正比,要想读出某个频率波分量的实际振幅,只需让 |F(ω)| 乘以相邻离散点的横轴间距再除以π即可。其实就是让 |F(ω)| 除以原函数周期值的一半(即L),参考一下我们上面说到的Fn和cn之间的关系式以及我在笔记篇中提到的“|cn|的幅值是实际振幅的一般”,就可以轻松得到得到这个结论。对于非周期函数来说,其频谱图已趋于连续,相邻“离散点”的横轴间距就是一个无穷小量,而 |F(ω)| 是有限值,那么每个频率波分量的实际振幅就都是0了。
所以对于非周期函数,说“|F(ω)| 代表了振幅密度的大小”比说“ |F(ω)| 代表了振幅的大小”更贴切一点。在某个宽度为Δω的区间内(频带),对这个“密度”进行积分,(其实还要再除以π的)就能得到这个宽度为Δω的频带中所有频率产生的振幅之和(虽然大家的振幅都是趋于0,但无数个加一块就有非零值了)。怎么理解呢?先把这个连续频谱图想象成一个由很多离散点组成的离散频谱图,只不过相邻离散点之间的横轴间距特别小(用dω表示吧,方便我叙述),其实相当于先把这个非周期函数想象成了一个周期很长的周期函数(周期越长,相邻离散点的横轴间距π/L 越小),然后用周期函数那一套计算这个宽度为 Δω的频带内所有频率的振幅之和,求解方法就是让每个非零的频谱值乘以相邻离散点横轴间距dω,都加一块,再除以π。这要取个极限的话,正好就是“在这个宽度为Δω的频带内,对这个密度进行积分,然后除以π”。
下面配两个图,分别是一个周期函数和一个非周期函数的频谱图:


本文完。我以前就一直不清楚傅里叶变换和傅里叶级数的具体关系,在网上找不到很好的资料,以前又没听过课(估计课上也不会讲),书本上又讲的太含糊,所以很长时间没有好好思考过傅里叶级数,现在终于自己想明白了。希望我的这些想法希望对你也有所帮助。