0019算法笔记——0-1背包问题动态规划求解
1、问题描述:
给定n种物品和一背包。物品i的重量是wi,其价值为vi,背包的容量为C。问:应如何选择装入背包的物品,使得装入背包中物品的总价值最大?
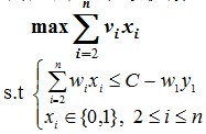
形式化描述:给定c >0, wi >0, vi >0 , 1≤i≤n.要求找一n元向量(x1,x2,…,xn,), xi∈{0,1}, ? ∑ wi xi≤c,且∑ vi xi达最大.即一个特殊的整数规划问题。

2、最优性原理:
设(y1,y2,…,yn)是 (3.4.1)的一个最优解.则(y2,…,yn)是下面相应子问题的一个最优解:

证明:使用反证法。若不然,设(z2,z3,…,zn)是上述子问题的一个最优解,而(y2,y3,…,yn)不是它的最优解。显然有
∑vizi > ∑viyi (i=2,…,n)
且 w1y1+ ∑wizi<= c
因此 v1y1+ ∑vizi (i=2,…,n) > ∑ viyi, (i=1,…,n)
说明(y1,z2, z3,…,zn)是(3.4.1)0-1背包问题的一个更优解,导出(y1,y2,…,yn)不是背包问题的最优解,矛盾。
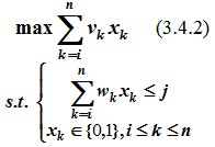
3、递推关系:
设所给0-1背包问题的子问题

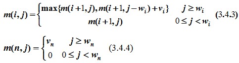
的最优值为m(i,j),即m(i,j)是背包容量为j,可选择物品为i,i+1,…,n时0-1背包问题的最优值。由0-1背包问题的最优子结构性质,可以建立计算m(i,j)的递归式:
注:(3.4.3)式此时背包容量为j,可选择物品为i。此时在对xi作出决策之后,问题处于两种状态之一:
(1)背包剩余容量是j,没产生任何效益;
(2)剩余容量j-wi,效益值增长了vi ;
算法具体代码如下:
//3d10-1 动态规划 背包问题#include "stdafx.h"#include <iostream> using namespace std; const int N = 4;void Knapsack(int v[],int w[],int c,int n,int m[][10]);void Traceback(int m[][10],int w[],int c,int n,int x[]);int main(){int c=8;int v[]={0,2,1,4,3},w[]={0,1,4,2,3};//下标从1开始int x[N+1];int m[10][10];cout<<"待装物品重量分别为:"<<endl;for(int i=1; i<=N; i++){cout<<w[i]<<" ";}cout<<endl;cout<<"待装物品价值分别为:"<<endl;for(int i=1; i<=N; i++){cout<<v[i]<<" ";}cout<<endl;Knapsack(v,w,c,N,m);cout<<"背包能装的最大价值为:"<<m[1][c]<<endl;Traceback(m,w,c,N,x);cout<<"背包装下的物品编号为:"<<endl;for(int i=1; i<=N; i++){if(x[i]==1){cout<<i<<" ";}}cout<<endl;return 0;}void Knapsack(int v[],int w[],int c,int n,int m[][10]){int jMax = min(w[n]-1,c);//背包剩余容量上限 范围[0~w[n]-1]for(int j=0; j<=jMax;j++){m[n][j]=0;}for(int j=w[n]; j<=c; j++)//限制范围[w[n]~c]{m[n][j] = v[n];}for(int i=n-1; i>1; i--){jMax = min(w[i]-1,c);for(int j=0; j<=jMax; j++)//背包不同剩余容量j<=jMax<c{m[i][j] = m[i+1][j];//没产生任何效益}for(int j=w[i]; j<=c; j++) //背包不同剩余容量j-wi >c{m[i][j] = max(m[i+1][j],m[i+1][j-w[i]]+v[i]);//效益值增长vi }}m[1][c] = m[2][c];if(c>=w[1]){m[1][c] = max(m[1][c],m[2][c-w[1]]+v[1]);}}//x[]数组存储对应物品0-1向量,0不装入背包,1表示装入背包void Traceback(int m[][10],int w[],int c,int n,int x[]){for(int i=1; i<n; i++){if(m[i][c] == m[i+1][c]){x[i]=0;}else{x[i]=1;c-=w[i];}}x[n]=(m[n][c])?1:0;}算法执行过程对m[][]填表及Traceback回溯过程如图所示:

从m(i,j)的递归式容易看出,算法Knapsack需要O(nc)计算时间; Traceback需O(n)计算时间;算法总体需要O(nc)计算时间。当背包容量c很大时,算法需要的计算时间较多。例如,当c>2^n时,算法需要Ω(n2^n)计算时间。
4、算法的改进:
由m(i,j)的递归式容易证明,在一般情况下,对每一个确定的i(1≤i≤n),函数m(i,j)是关于变量j的阶梯状单调不减函数。跳跃点是这一类函数的描述特征。在一般情况下,函数m(i,j)由其全部跳跃点唯一确定。如图所示。

对每一个确定的i(1≤i≤n),用一个表p[i]存储函数m(i,j)的全部跳跃点。表p[i]可依计算m(i,j)的递归式递归地由表p[i+1]计算,初始时p[n+1]={(0,0)}。
一个例子:n=3,c=6,w={4,3,2},v={5,2,1}。

函数m(i,j)是由函数m(i+1,j)与函数m(i+1,j-wi)+vi作max运算得到的。因此,函数m(i,j)的全部跳跃点包含于函数m(i+1,j)的跳跃点集p[i+1]与函数m(i+1,j-wi)+vi的跳跃点集q[i+1]的并集中。易知,(s,t)∈q[i+1]当且仅当wi<=s<=c且(s-wi,t-vi)∈p[i+1]。因此,容易由p[i+1]确定跳跃点集q[i+1]如下:
q[i+1]=p[i+1]⊕(wi,vi)={(j+wi,m(i,j)+vi)|(j,m(i,j))∈p[i+1]}
另一方面,设(a,b)和(c,d)是p[i+1]∪q[i+1]中的2个跳跃点,则当c>=a且d<b时,(c,d)受控于(a,b),从而(c,d)不是p[i]中的跳跃点。除受控跳跃点外,p[i+1]∪q[i+1]中的其他跳跃点均为p[i]中的跳跃点。
由此可见,在递归地由表p[i+1]计算表p[i]时,可先由p[i+1]计算出q[i+1],然后合并表p[i+1]和表q[i+1],并清除其中的受控跳跃点得到表p[i]。
例:n=5,c=10,w={2,2,6,5,4},v={6,3,5,4,6}。跳跃点的计算过程如下:
初始时p[6]={(0,0)},(w5,v5)=(4,6)。因此,q[6]=p[6]⊕(w5,v5)={(4,6)}。 p[5]={(0,0),(4,6)}。q[5]=p[5]⊕(w4,v4)={(5,4),(9,10)}。从跳跃点集p[5]与q[5]的并集p[5]∪q[5]={(0,0),(4,6),(5,4),(9,10)}中看到跳跃点(5,4)受控于跳跃点(4,6)。将受控跳跃点(5,4)清除后,得到
p[4]={(0,0),(4,6),(9,10)}
q[4]=p[4]⊕(6,5)={(6,5),(10,11)}
p[3]={(0,0),(4,6),(9,10),(10,11)}
q[3]=p[3]⊕(2,3)={(2,3),(6,9)}
p[2]={(0,0),(2,3),(4,6),(6,9),(9,10),(10,11)}
q[2]=p[2]⊕(2,6)={(2,6),(4,9),(6,12),(8,15)}
p[1]={(0,0),(2,6),(4,9),(6,12),(8,15)}
p[1]的最后的那个跳跃点(8,15)给出所求的最优值为m(1,c)=15。
具体代码实现如下:
//3d10-2 动态规划 背包问题 跳跃点优化#include "stdafx.h"#include <iostream> using namespace std; const int N = 4;template<class Type>int Knapsack(int n,Type c,Type v[],Type w[],int **p,int x[]);template<class Type>void Traceback(int n,Type w[],Type v[],Type **p,int *head,int x[]);int main(){int c=8;int v[]={0,2,1,4,3},w[]={0,1,4,2,3};//下标从1开始int x[N+1];int **p = new int *[50];for(int i=0;i<50;i++) { p[i] = new int[2]; } cout<<"待装物品重量分别为:"<<endl;for(int i=1; i<=N; i++){cout<<w[i]<<" ";}cout<<endl;cout<<"待装物品价值分别为:"<<endl;for(int i=1; i<=N; i++){cout<<v[i]<<" ";}cout<<endl;cout<<"背包能装的最大价值为:"<<Knapsack(N,c,v,w,p,x)<<endl;cout<<"背包装下的物品编号为:"<<endl;for(int i=1; i<=N; i++){if(x[i]==1){cout<<i<<" ";}}cout<<endl;for(int i=0;i<50;i++) { delete p[i]; } delete[] p;return 0;}template<class Type>int Knapsack(int n,Type c,Type v[],Type w[],int **p,int x[]){int *head = new int[n+2];head[n+1]=0;p[0][0]=0;//p[][0]存储物品重量p[0][1]=0;//p[][1]存储物品价值,物品n的跳跃点(0,0)// left 指向p[i+1]的第一个跳跃点,right指向最后一个//拿书上的例子来说,若计算p[3]=0;则left指向p[4]的第一跳跃点(0 0)right指向(9,10)int left = 0,right = 0,next = 1;//next即下一个跳跃点要存放的位置head[n]=1;//head[n]用来指向第n个物品第一个跳跃点的位置for(int i=n; i>=1; i--){int k = left;//k指向p[ ]中跳跃点,移动k来判断p[]与p[]+(w v)中的受控点for(int j=left; j<=right; j++){if(p[j][0]+w[i]>c) break;//剩余的空间不能再装入i,退出for循环;Type y = p[j][0] + w[i],m = p[j][1] + v[i];//计算p[ ]+(w v)//若p[k][0]较小则(p[k][0] p[k][1])一定不是受控点,将其作为p[i]的跳跃点存储while(k<=right && p[k][0]<y){p[next][0]=p[k][0];p[next++][1]=p[k++][1];}//如果 p[k][0]==y而m<p[k][1],则(y m)为受控点不存if(k<=right && p[k][0]==y){if(m<p[k][1])//对(p[k][0] p[k][1])进行判断{m=p[k][1];}k++;}// 若p[k][0]>=y且m> =p[k][1],判断是不是当前i的最后一个跳跃点的受控点//若不是则为i的跳跃点存储if(m>p[next-1][1]){p[next][0]=y;p[next++][1]=m;}//若是,则对下一个元素进行判断。while(k<=right && p[k][1]<=p[next-1][1]){k++;}}while(k<=right){p[next][0]=p[k][0];p[next++][1]=p[k++][1];//将i+1剩下的跳跃点作为做为i的跳跃点存储}left = right + 1;right = next - 1;// 第i-1个物品第一个跳跃点的位置 head[0]指第0个物品第一个跳跃点的位置head[i-1] = next;}Traceback(n,w,v,p,head,x);return p[next-1][1];}//x[]数组存储对应物品0-1向量,0不装入背包,1表示装入背包template<class Type>void Traceback(int n,Type w[],Type v[],Type **p,int *head,int x[]){//初始化j,m为最后一个跳跃点对应的第0列及第1列//如上例求出的 最后一个跳跃点为(8 15)j=8,m=15Type j = p[head[0]-1][0],m=p[head[0]-1][1];for(int i=1; i<=n; i++){x[i]=0;// 初始化数组;for(int k=head[i+1]; k<=head[i]-1;k++)// 初始k指向p[2]的第一个跳跃点(0 0){//判断物品i是否装入,如上例与跳跃点(6 9)相加等于(8 15)所以1装入if(p[k][0]+w[i]==j && p[k][1]+v[i]==m){x[i]=1;//物品i被装入,则x[i]置1j=p[k][0];// j和m值置为满足if条件的跳跃点对应的值m=p[k][1];// 如上例j=6,m=9break;//再接着判断下一个物品}}}} 上述算法的主要计算量在于计算跳跃点集p[i](1≤i≤n)。由于q[i+1]=p[i+1]⊕(wi,vi),故计算q[i+1]需要O(|p[i+1]|)计算时间。合并p[i+1]和q[i+1]并清除受控跳跃点也需要O(|p[i+1]|)计算时间。从跳跃点集p[i]的定义可以看出,p[i]中的跳跃点相应于xi,…,xn的0/1赋值。因此,p[i]中跳跃点个数不超过2^(n-i+1)。由此可见,算法计算跳跃点集p[i]所花费的计算时间为
从而,改进后算法的计算时间复杂性为O(2^n)。当所给物品的重量wi(1≤i≤n)是整数时,|p[i]|≤c+1,(1≤i≤n)。在这种情况下,改进后算法的计算时间复杂性为O(min{nc,2^n})。
运行结果如图:
