0020算法笔记——最优二叉搜索树问题
1、问题描速:
设 S={x1, x2, ···, xn} 是一个有序集合,且x1, x2, ···, xn表示有序集合的二叉搜索树利用二叉树的顶点存储有序集中的元素,而且具有性质:存储于每个顶点中的元素x 大于其左子树中任一个顶点中存储的元素,小于其右子树中任意顶点中存储的元素。二叉树中的叶顶点是形如(xi, xi+1) 的开区间。在表示S的二叉搜索树中搜索一个元素x,返回的结果有两种情形:
(1) 在二叉树的内部顶点处找到: x = xi
(2) 在二叉树的叶顶点中确定: x∈ (xi , xi+1)
设在情形(1)中找到元素x = xi的概率为bi;在情形(2)中确定x∈ (xi , xi+1)的概率为ai。其中约定x0= -∞ , xn+1= + ∞ ,有

集合{a0,b1,a1,……bn,an}称为集合S的存取概率分布。
最优二叉搜索树:在一个表示S的二叉树T中,设存储元素xi的结点深度为ci;叶结点(xj,xj+1)的结点深度为dj。

注:在检索过程中,每进行一次比较,就进入下面一层,对于成功的检索,比较的次数就是所在的层数加1。对于不成功的检索,被检索的关键码属于那个外部结点代表的可能关键码集合,比较次数就等于此外部结点的层数。对于图的内结点而言,第0层需要比较操作次数为1,第1层需要比较2次,第2层需要3次。
p表示在二叉搜索树T中作一次搜索所需的平均比较次数。P又称为二叉搜索树T的平均路长,在一般情况下,不同的二叉搜索树的平均路长是不同的。对于有序集S及其存取概率分布(a0,b1,a1,……bn,an),在所有表示有序集S的二叉搜索树中找出一棵具有最小平均路长的二叉搜索树。
设Pi是对ai检索的概率。设qi是对满足ai<X<ai+1,0<=i<=n的标识符X检索的概率, (假定a0=--∞且an+1=+ ∞)。

对于有n个关键码的集合,其关键码有n!种不同的排列,可构成的不同二叉搜索树有
棵。(n个结点的不同二叉树,卡塔兰数)。如何评价这些二叉搜索树,可以用树的搜索效率来衡量。例如:标识符集{1, 2, 3}={do, if, stop}可能的二分检索树为:

若P1=0.5, P2=0.1, P3=0.05,q0=0.15, q1=0.1, q2=0.05, q3=0.05,求每棵树的平均比较次数(成本)。
Pa(n)=1 × p1 + 2 × p2+3 × p3 + 1×q0 +2×q1+ 3×( q2 + q3 ) =1 × 0.5+ 2 × 0.1+3 ×0.05 + 1×0.05 +2×0.1+ 3×( 0.05 + 0.05 ) =1.5
Pb(n)=1 × p1 + 2 × p3+3 × p2 + 1×q0 + 3×( q2 + q3 ) =1 × 0.5+ 2 × 0.05 + 3 ×0.1 + 1×0.15 +2×0.05+ 3×( 0.05 + 0.05 ) =1.6
Pc(n)=1 × p2 + 2 × (p1 + p3) + 2×(q0 +q1 +q2 + q3 ) =1 × 0.1+ 2 × (0.5 + 0.05) + 2×(0.15 + 0.1 + 0.05 + 0.05) =1.9
Pd(n)=1 × p3 + 2 × p1+3 × p2 + 1 × q3+2 × q0 +3 × (q1+ q2) =1 × 0.05 + 2 × 0.5 + 3 × 0.1 + 1×0.05 + 2 × 0.15 + 3 × (0.1 + 0.05) =2.15
Pe(n)=1 × p3 + 2 × p1+3 × p2 + 1 × q3+2 × q0 +3 × (q1 + q2) =1 × 0.05 + 2 × 0.5 + 3 × 0.1 + 1×0.05 + 2 × 0.15 + 3 × (0.1 + 0.05) =2.15
因此,上例中的最小平均路长为Pa(n)=1.5。
可以得出结论:结点在二叉搜索树中的层次越深,需要比较的次数就越多,因此要构造一棵最小二叉树,一般尽量把搜索概率较高的结点放在较高的层次。
2、最优子结构性质:
假设选择 k为树根,则 1, 2, …, k-1 和a0, a1, …, ak-1 都将位于左子树 L 上,其余结点 (k+1, …, n 和 ak, ak+1, …, an)位于右子树 R 上。设COST(L) 和COST(R) 分别是二分检索树T的左子树和右子树的成本。则检索树T的成本是:P(k)+ COST(L) + COST(R) + …… 。若 T 是最优的,则上式及 COST(L) 和COST(R) 必定都取最小值。
证明:二叉搜索树T 的一棵含有顶点xi , ··· , xj和叶顶点(xi-1 , xi ) , ··· , ( xj , xj+1)的子树可以看作是有序集{ xi , ··· , xj}关于全集为 { xi-1 , xj+1 }的一棵二叉搜索树(T自身可以看作是有序集) 。根据S 的存取分布概率,在子树的顶点处被搜索到的概率是:
。{xi , ··· , xj}的存储概率分布为{ai-1, bi, …, bj, aj },其中,ah,bk分别是下面的条件概率:
。
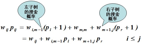
设Tij是有序集{xi , ··· , xj}关于存储概率分布为{ai-1, bi, …, bj, aj}的一棵最优二叉搜索树,其平均路长为pij,Tij的根顶点存储的元素xm,其左子树Tl和右子树Tr的平均路长分别为pl和pr。由于Tl和Tr中顶点深度是它们在Tij中的深度减1,所以得到:

由于Ti是关于集合{xi , ··· , xm-1}的一棵二叉搜索树,故Pl>=Pi,m-1。若Pl>Pi,m-1,则用Ti,m-1替换Tl可得到平均路长比Tij更小的二叉搜索树。这与Tij是最优二叉搜索树矛盾。故Tl是一棵最优二叉搜索树。同理可证Tr也是一棵最优二叉搜索树。因此最优二叉搜索树问题具有最优子结构性质。
3、递推关系:
根据最优二叉搜索树问题的最优子结构性质可建立计算pij的递归式如下:
初始时:
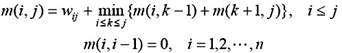
记 wi,j pi,j为m(i,j) ,则m(1,n)=w1,n p1,n=p1,n为所求的最优值。计算m(i,j)的递归式为:

4、求解过程:
1)没有内部节点时,构造T[1][0],T[2][1],T[3][2]……,T[n+1][n]
2)构造只有1个内部结点的最优二叉搜索树T[1][1],T[2][2]…, T[n][n],可以求得m[i][i] 同时可以用一个数组存做根结点元素为:s[1][1]=1, s[2][2]=2…s[n][n]=n
3)构造具有2个、3个、……、n个内部结点的最优二叉搜索树。
……
r ( 起止下标的差)
0 T[1][1], T[2][2] , …, T[n][n],
1 T[1][2], T[2][3], …,T[n-1][n],
2 T[1][3], T[2][4], …,T[n-2][n],
……
r T[1][r+1], T[2][r+2], …,T[i][i+r],…,T[n-r][n]
……
n-1 T[1][n]
具体代码如下:
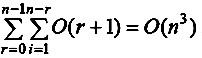
。对于固定的r,它需要的计算时间O(j-i+1)=O(r+1)。因此算法所耗费的总时间为:。事实上,由《动态规划加速原理之四边形不等式》可以得到:
而此状态转移方程的时间复杂度为O(n^2)。由此,对算法改进后的代码如下: