0017算法笔记——电路布线问题
1、问题描述:
在一块电路板的上、下两端分别有n个接线柱。根据电路设计,要求用导线(i,π(i)) 将上端接线柱i与下端接线柱π(i)相连,如下图。其中,π(i),1≤ i ≤n,是{1,2,…,n}的一个排列。导线(I, π(i))称为该电路板上的第i条连线。对于任何1 ≤ i ≤ j ≤n,第i条连线和第j条连线相交的充要条件是π(i)> π(j).

π(i)={8,7,4,2,5,1,9,3,10,6}
在制作电路板时,要求将这n条连线分布到若干绝缘层上。在同一层上的连线不相交。电路布线问题要确定将哪些连线安排在第一层上,使得该层上有尽可能多的连线。换句话说,该问题要求确定导线集Nets = {i,π(i),1 ≤ i ≤ n}的最大不相交子集。
2、最优子结构性质:
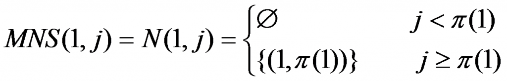
记N(i,j) = {t|(t, π(t)) ∈ Nets,t ≤ i, π(t) ≤ j }. N(i,j)的最大不相交子集为MNS(i,j)Size(i,j)=|MNS(i,j)|。
(1)当i = 1时

(2)当i >1时
① j <π(i)。此时,(i,π(i)) 不属于N(i,j)。故在这种情况下,N(i,j) = N(i-1,j),从而Size(i,j)=Size(i-1,j)。
② j ≥π(i)。此时,若(i, π(i))∈MNS(i,j),则对任意(t, π(t))∈MNS(i,j)有t < i且π(t)< π(i);否则,(t, π(t))与(i, π(i))相交。在这种情况下MNS(i,j)-{(i, π(i))}是N(i-1, π(i)-1)的最大不相交子集。否则,子集MNS(i-1, π(i)-1)∪{(i, π(i))}包含于N(i,j)是比MNS(i,j)更大的N(i,j)的不相交子集。这与MNS(i,j)的定义相矛盾。
若(i, π(i))不属于MNS(i,j),则对任意(t, π(t))∈MNS(i,j),有t<i。从而MNS(i,j)包含于N(i-1,j),因此,Size(i,j)≤Size(i-1,j)。
另一方面,MNS(i-1,j)包含于N(i,j),故又有Size(i,j) ≥Size(i-1,j),从而Size(i,j)= Size(i-1,j)。


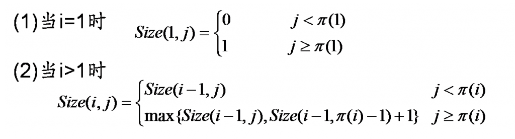
3、递推关系
电路布线问题的最优值为Size(n,n)。由该问题的最优子结构性质可知,子问题最优值的递归关系如下:

自底向上,先算上排接线柱只有1个,2个的最优布线,然后求上排接线柱有多个的最优布线。具体代码如下:
//3d8 动态规划 电路布线问题#include "stdafx.h"#include <iostream> using namespace std; const int N = 10;void MNS(int C[],int n,int **size);void Traceback(int C[],int **size,int n,int Net[],int& m);int main(){int c[] = {0,8,7,4,2,5,1,9,3,10,6};//下标从1开始int **size = new int *[N+1];for(int i=0; i<=N; i++){size[i] = new int[N+1];}MNS(c,N,size);cout<<"电路布线最大不相交连线数目为:"<<size[N][N]<<endl;int Net[N],m;Traceback(c,size,N,Net,m);cout<<"最大不相交连线分别为:"<<endl;for(int i=m-1; i>=0; i--){cout<<"("<<Net[i]<<","<<c[Net[i]]<<") ";}cout<<endl;return 0;}void MNS(int C[],int n,int **size){for(int j=0;j<C[1];j++){size[1][j]=0;}for(int j=C[1]; j<=n; j++){size[1][j]=1;}for(int i=2; i<n; i++){for(int j=0; j<C[i]; j++){size[i][j]=size[i-1][j];//当i<c[i]的情形}for(int j=C[i]; j<=n; j++){//当j>=c[i]时,考虑(i,c[i])是否属于MNS(i,j)的两种情况size[i][j]=max(size[i-1][j],size[i-1][C[i]-1]+1);}}size[n][n]=max(size[n-1][n],size[n-1][C[n]-1]+1);}void Traceback(int C[],int **size,int n,int Net[],int& m){int j=n;m=0;for(int i=n;i>1;i--){if(size[i][j]!=size[i-1][j])//此时,(i,c[i])是最大不相交子集的一条边{Net[m++]=i;j=C[i]-1;//更新扩展连线柱区间}}if(j>=C[1])//处理i=1的情形{Net[m++]=1;}}算法MNS时间和空间复杂度为O(n^2)。Traceback时间复杂度为O(n)。程序运行结果如下:
