首页 诗词 字典 板报 句子 名言 友答 励志 学校 网站地图
当前位置: 首页 > 教程频道 > 开发语言 > 编程 >

0013算法笔记——最大子段和有关问题,最大子矩阵和有关问题,最大m子段和有关问题

2013-03-06 
0013算法笔记——最大子段和问题,最大子矩阵和问题,最大m子段和问题1、最大子段和问题问题定义:对于给定序列a

0013算法笔记——最大子段和问题,最大子矩阵和问题,最大m子段和问题

     1、最大子段和问题

     问题定义:对于给定序列a1,a2,a3……an,寻找它的某个连续子段,使得其和最大。如( -2,11,-4,13,-5,-2 )最大子段是{ 11,-4,13 }其和为20。

     (1)枚举法求解

     枚举法思路如下:

     以a[0]开始: {a[0]}, {a[0],a[1]},{a[0],a[1],a[2]}……{a[0],a[1],……a[n]}共n个

     以a[1]开始: {a[1]}, {a[1],a[2]},{a[1],a[2],a[3]}……{a[1],a[2],……a[n]}共n-1个

     ……

     以a[n]开始:{a[n]}共1个

     一共(n+1)*n/2个连续子段,使用枚举,那么应该可以得到以下算法:
     具体代码如下:

//3d4-1 最大子段和问题的简单算法#include "stdafx.h"#include <iostream> using namespace std; int MaxSum(int n,int *a,int& besti,int& bestj);int main(){int a[] = {-2,11,-4,13,-5,-2};for(int i=0; i<6; i++){cout<<a[i]<<" ";}int besti,bestj;cout<<endl;cout<<"数组a的最大连续子段和为:a["<<besti<<":"<<bestj<<"]:"<<MaxSum(6,a,besti,bestj)<<endl;return 0;}int MaxSum(int n,int *a,int& besti,int& bestj){int sum = 0;for(int i=0; i<n; i++)//控制求和起始项{for(int j=i; j<n; j++)//控制求和结束项{int thissum = 0;for(int k=i; k<=j; k++)//求和{thissum += a[k];}if(thissum>sum)//求最大子段和{sum = thissum;besti = i;bestj = j;}}}return sum;}

            从这个算法的三个for循环可以看出,它所需要的计算时间是O(n^3)。事实上,如果注意到0013算法笔记——最大子段和有关问题,最大子矩阵和有关问题,最大m子段和有关问题,则可将算法中的最后一个for循环省去,避免重复计算,从而使算法得以改进。改进后的代码如下:

//3d4-2 最大子段和问题的避免重复的简单算法#include "stdafx.h"#include <iostream> using namespace std; int MaxSum(int n,int *a,int& besti,int& bestj);int main(){int a[] = {-2,11,-4,13,-5,-2};for(int i=0; i<6; i++){cout<<a[i]<<" ";}int besti,bestj;cout<<endl;cout<<"数组a的最大连续子段和为:a["<<besti<<":"<<bestj<<"]:"<<MaxSum(6,a,besti,bestj)<<endl;return 0;}int MaxSum(int n,int *a,int& besti,int& bestj){int sum = 0;for(int i=0; i<n; i++)//控制求和起始项{int thissum = 0;for(int j=i; j<=n; j++)//控制求和结束项{thissum += a[j];//求和if(thissum>sum){sum = thissum;besti = i;bestj = j;}}}return sum;}

     (2)分治法求解

       分治法思路如下:

    将序列a[1:n]分成长度相等的两段a[1:n/2]和a[n/2+1:n],分别求出这两段的最大字段和,则a[1:n]的最大子段和有三中情形:

    [1]、a[1:n]的最大子段和与a[1:n/2]的最大子段和相同; 

       [2]、a[1:n]的最大子段和与a[n/2+1:n]的最大子段和相同;

    [3]、a[1:n]的最大字段和为0013算法笔记——最大子段和有关问题,最大子矩阵和有关问题,最大m子段和有关问题,且1<=i<=n/2,n/2+1<=j<=n。

    可用递归方法求得情形[1],[2]。对于情形[3],可以看出a[n/2]与a[n/2+1]在最优子序列中。因此可以在a[1:n/2]中计算出0013算法笔记——最大子段和有关问题,最大子矩阵和有关问题,最大m子段和有关问题,并在a[n/2+1:n]中计算出0013算法笔记——最大子段和有关问题,最大子矩阵和有关问题,最大m子段和有关问题。则s1+s2即为出现情形[3]时的最优值。

     具体代码如下:

//3d4-1 最大子段和问题的分治算法#include "stdafx.h"#include <iostream> using namespace std; int MaxSubSum(int *a,int left,int right);int MaxSum(int n,int *a);int main(){int a[] = {-2,11,-4,13,-5,-2};for(int i=0; i<6; i++){cout<<a[i]<<" ";}cout<<endl;cout<<"数组a的最大连续子段和为:"<<MaxSum(6,a)<<endl;return 0;}int MaxSubSum(int *a,int left,int right){int sum = 0;if(left == right){sum = a[left]>0?a[left]:0;}else{int center = (left+right)/2;int leftsum = MaxSubSum(a,left,center);int rightsum = MaxSubSum(a,center+1,right);int s1 = 0;int lefts = 0;for(int i=center; i>=left;i--){lefts += a[i];if(lefts>s1){s1=lefts;}}int s2 = 0;int rights = 0;for(int i=center+1; i<=right;i++){rights += a[i];if(rights>s2){s2=rights;}}sum = s1+s2;if(sum<leftsum){sum = leftsum;}if(sum<rightsum){sum = rightsum;}}return sum;}int MaxSum(int n,int *a){return MaxSubSum(a,0,n-1);}

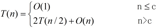
     算法所需的计算时间T(n)满足一下递归式:

0013算法笔记——最大子段和有关问题,最大子矩阵和有关问题,最大m子段和有关问题

     解此递归方程可知:T(n)=O(nlogn)。

     (3)动态规划算法求解

    算法思路如下:

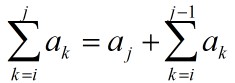
    记0013算法笔记——最大子段和有关问题,最大子矩阵和有关问题,最大m子段和有关问题,则所求的最大子段和为:0013算法笔记——最大子段和有关问题,最大子矩阵和有关问题,最大m子段和有关问题

    由b[j]的定义知,当b[j-1]>0时,b[j]=b[j-1]+a[j],否则b[j]=a[j]。由此可得b[j]的动态规划递推式如下:

     b[j]=max{b[j-1]+a[j],a[j]},1<=j<=n。

     具体代码如下:

//3d4-1 最大子段和问题的动态规划算法#include "stdafx.h"#include <iostream> using namespace std; int MaxSum(int n,int *a);int main(){int a[] = {-2,11,-4,13,-5,-2};for(int i=0; i<6; i++){cout<<a[i]<<" ";}cout<<endl;cout<<"数组a的最大连续子段和为:"<<MaxSum(6,a)<<endl;return 0;}int MaxSum(int n,int *a){int sum=0,b=0;for(int i=1; i<=n; i++){if(b>0){b+=a[i];}else{b=a[i];}if(b>sum){sum = b;}}return sum;}

     上述算法的时间复杂度和空间复杂度均为O(n)。

     2、最大子矩阵和问题
        (1)问题描述:给定一个m行n列的整数矩阵A,试求A的一个子矩阵,时期各元素之和为最大。

     (2)问题分析:

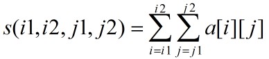
      用二维数组a[1:m][1:n]表示给定的m行n列的整数矩阵。子数组a[i1:i2][j1:j2]表示左上角和右下角行列坐标分别为(i1,j1)和(i2,j2)的子矩阵,其各元素之和记为:0013算法笔记——最大子段和有关问题,最大子矩阵和有关问题,最大m子段和有关问题

      最大子矩阵问题的最优值为0013算法笔记——最大子段和有关问题,最大子矩阵和有关问题,最大m子段和有关问题。如果用直接枚举的方法解最大子矩阵和问题,需要O(m^2n^2)时间。注意到0013算法笔记——最大子段和有关问题,最大子矩阵和有关问题,最大m子段和有关问题,式中,0013算法笔记——最大子段和有关问题,最大子矩阵和有关问题,最大m子段和有关问题,设0013算法笔记——最大子段和有关问题,最大子矩阵和有关问题,最大m子段和有关问题,则0013算法笔记——最大子段和有关问题,最大子矩阵和有关问题,最大m子段和有关问题

容易看出,这正是一维情形的最大子段和问题。因此,借助最大子段和问题的动态规划算法MaxSum,可设计出最大子矩阵和动态规划算法如下:

//3d4-5 最大子矩阵之和问题#include "stdafx.h"#include <iostream> using namespace std; const int M=4;const int N=3;int MaxSum(int n,int *a);int MaxSum2(int m,int n,int a[M][N]);int main(){int a[][N] = {{4,-2,9},{-1,3,8},{-6,7,6},{0,9,-5}};for(int i=0; i<M; i++){for(int j=0; j<N; j++){cout<<a[i][j]<<" ";}cout<<endl;}cout<<endl;cout<<"数组a的最大连续子段和为:"<<MaxSum2(M,N,a)<<endl;return 0;}int MaxSum2(int m,int n,int a[M][N]){int sum = 0;int *b = new int[n+1];for(int i=0; i<m; i++)//枚举行{for(int k=0; k<n;k++){b[k]=0;}for(int j=i;j<m;j++)//枚举初始行i,结束行j{for(int k=0; k<n; k++){b[k] += a[j][k];//b[k]为纵向列之和int max = MaxSum(n,b);if(max>sum){sum = max;}}}}return sum;}int MaxSum(int n,int *a){int sum=0,b=0;for(int i=1; i<=n; i++){if(b>0){b+=a[i];}else{b=a[i];}if(b>sum){sum = b;}}return sum;}
     以上代码MaxSum2方法的执行过程可用下图表示:

0013算法笔记——最大子段和有关问题,最大子矩阵和有关问题,最大m子段和有关问题
     3、最大m子段和问题

     (1)问题描述:给定由n个整数(可能为负数)组成的序列a1,a2,a3……an,以及一个正整数m,要求确定此序列的m个不相交子段的总和达到最大。最大子段和问题是最大m字段和问题当m=1时的特殊情形。

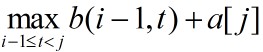
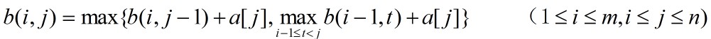
     (2)问题分析:设b(i,j)表示数组a的前j项中i个子段和的最大值,且第i个子段含a[j](1<=i<=m,i<=j<=n),则所求的最优值显然为0013算法笔记——最大子段和有关问题,最大子矩阵和有关问题,最大m子段和有关问题。与最大子段问题相似,计算b(i,j)的递归式为:0013算法笔记——最大子段和有关问题,最大子矩阵和有关问题,最大m子段和有关问题

     其中,0013算法笔记——最大子段和有关问题,最大子矩阵和有关问题,最大m子段和有关问题表示第i个子段含a[j-1],而0013算法笔记——最大子段和有关问题,最大子矩阵和有关问题,最大m子段和有关问题项表示第i个子段仅含a[j]。初始时,b(0,j)=0,(1<=j<=n);b(i,0)=0,(1<=i<=m)。

     具体代码如下:

//3d4-6 最大m子段问题#include "stdafx.h"#include <iostream> using namespace std; int MaxSum(int m,int n,int *a);int main(){int a[] = {0,2,3,-7,6,4,-5};//数组脚标从1开始for(int i=1; i<=6; i++){cout<<a[i]<<" ";}cout<<endl;cout<<"数组a的最大连续子段和为:"<<MaxSum(3,6,a)<<endl;}int MaxSum(int m,int n,int *a){if(n<m || m<1)return 0;int **b = new int *[m+1];for(int i=0; i<=m; i++){b[i] = new int[n+1];}for(int i=0; i<=m; i++){b[i][0] = 0;}for(int j=1;j<=n; j++){b[0][j] = 0;}//枚举子段数目,从1开始,迭代到m,递推出b[i][j]的值for(int i=1; i<=m; i++){//n-m+i限制避免多余运算,当i=m时,j最大为n,可据此递推所有情形for(int j=i; j<=n-m+i; j++){if(j>i){b[i][j] = b[i][j-1] + a[j];//代表a[j]同a[j-1]一起,都在最后一子段中for(int k=i-1; k<j; k++){if(b[i][j]<b[i-1][k]+a[j])b[i][j] = b[i-1][k]+a[j];//代表最后一子段仅包含a[j]}}else{b[i][j] = b[i-1][j-1]+a[j];//当i=j时,每一项为一子段}}}int sum = 0;for(int j=m; j<=n; j++){if(sum<b[m][j]){sum = b[m][j];}}return sum;}

     上述算法的时间复杂度为O(mn^2),空间复杂度为O(mn)。其实,上述算法中,计算b[i][j]时,只用到了数组b的第i-1行和第i行的值。因而,算法中只要存储数组b的当前行,不必存储整个数组。另一方面,0013算法笔记——最大子段和有关问题,最大子矩阵和有关问题,最大m子段和有关问题的值可以在计算i-1行时预先计算并保存起来。计算第i行的值时不必重新计算,节省了计算时间和空间。因此,算法可继续改进如下:

//3d4-7 最大m子段问题#include "stdafx.h"#include <iostream> using namespace std; int MaxSum(int m,int n,int *a);int main(){int a[] = {0,2,3,-7,6,4,-5};//数组脚标从1开始for(int i=1; i<=6; i++){cout<<a[i]<<" ";}cout<<endl;cout<<"数组a的最大连续子段和为:"<<MaxSum(3,6,a)<<endl;}int MaxSum(int m,int n,int *a){if(n<m || m<1)return 0;int *b = new int[n+1];int *c = new int[n+1];b[0] = 0;//b数组记录第i行的最大i子段和c[1] = 0;//c数组记录第i-1行的最大i-1子段和for(int i=1; i<=m; i++){b[i] = b[i-1] + a[i];c[i-1] = b[i];int max = b[i];//n-m+i限制避免多余运算,当i=m时,j最大为n,可据此递推所有情形for(int j=i+1; j<=i+n-m;j++){b[j] = b[j-1]>c[j-1]?b[j-1]+a[j]:c[j-1]+a[j];c[j-1] = max;//预先保存第j-1行的最大j-1子段和if(max<b[j]){max = b[j];}}c[i+n-m] = max;}int sum = 0;for(int j=m; j<=n; j++){if(sum<b[j]){sum = b[j];}}return sum;}

     上述算法时间复杂度为O(m(n-m)),空间复杂度为O(n)。当m或n-m为常数时,时间复杂度和空间复杂度均为O(n)。


热点排行