首页 诗词 字典 板报 句子 名言 友答 励志 学校 网站地图
当前位置: 首页 > 教程频道 > 开发语言 > 编程 >

UFLDL练习题(Sparse Autoencoder)

2013-03-06 
UFLDL练习(Sparse Autoencoder)最近开始学习UFLDL,一个deep learning的教程这个练习的地址:http://deeplea

UFLDL练习(Sparse Autoencoder)

最近开始学习UFLDL,一个deep learning的教程

这个练习的地址:http://deeplearning.stanford.edu/wiki/index.php/Exercise:Sparse_Autoencoder

Sparse Autoencoder是用神经网络进行feature learning的一个算法,详细的就见教程,我只是贴贴代码

从早上十点多一直debug到下午四点多,问题多多,究其原因还是对算法理解不够深刻,虽然以前还写过一个nn

所以收获还是有的,理解算法嘛

最主要的部分就是sparseAutoencoderCost.m了


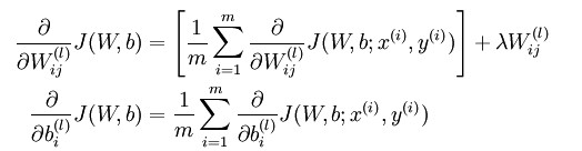
但实际上这个步骤计算的是J(W,b;x,y),是针对某个训练数据来的,即使你把所有的累积起来,并没有满足要求

因为真正的梯度计算式子是:

UFLDL练习题(Sparse Autoencoder)

我们算的不过是求和符号的那一坨,还需要加入外面的部分

看起来不止我一个人犯了这样的错误,因为微博上一人帖的代码也有问题

训练结果:

UFLDL练习题(Sparse Autoencoder)

嗯嗯,就这样了,话说matlab 2012挺好用的

热点排行