首页 诗词 字典 板报 句子 名言 友答 励志 学校 网站地图
当前位置: 首页 > 教程频道 > 其他教程 > 其他相关 >

高等数学札记(2)

2013-03-01 
高等数学笔记(2)1)微分:dyA.dx,含义:对于函数yf(x),在x的增量dx足够小时,函数值y的增量dy可以近似等于A.

高等数学笔记(2)

1)微分:dy=A.dx,含义:对于函数y=f(x),在x的增量dx足够小时,函数值y的增量dy可以近似等于A.dx,其中A是一个与dx无关的常数.
2)f(x)在点x0处可微的充分必要条件是函数f(x)在x0处可导;
3)导数又称为微商:导数公式dy/dx=f'(x) ==> 微分公式dy=f'(x)dx
4)微分的几何意义:非线性函数的局部线性化(以直线段替代曲线段).
5)微分公式可以很容易根据求导公式推出;
6)微分形式不变性.
7)费马引理:通俗说话,在x定义范围内的最大值或最小值处的导数都为0;
8)驻点,临界点;
9)罗尔定理(Rolle);拉格朗日中值定理(微分中值定义f(b)-f(a)=f(k)(b-a);
10)有限增量定理dy=f'(x+Adx)*dx(0<A<1);柯西中值定理;
11)洛比达法则:在一定条件下,求两个函数的比值在某处的极限可以转换为两个函数的导数的比值在某处的极限.(提供了一种通过分母分子分别降阶来求函数极限值的方法).[未定式求极限)
12)n阶泰勒公式,n次泰勒多项式,拉格朗日余项;佩亚洛型余项;麦克劳林公式
13)利用函数的倒数大小来判定曲线函数的的单调性;大于0递增,小于零递减.
14)利用二阶导数大小判定曲线函数的凹凸性.大于0凹,小于0凸;
15)极值,极大值,极小值;
16)曲率,曲率半径:p=1/K
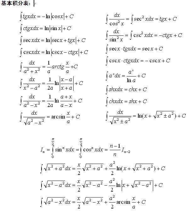
17)不定积分:不定积分,积分函数,被积函数,被积表达式,积分变量;
18)基本积分表
高等数学札记(2)

19)不定积分的性质:
A)函数之和的不定积分等于各个函数的不定积分之和;
B)求不定积分时,被积函数中不为零的常数因子可以提到积分号的外面来;
20)不定积分方法:直接法,换元法,分部积分法;有理函数积分;查积分表法;
21)定积分;牛顿-莱布尼茨公式;微积分基本公式;

22:定积分的应用:
A) 平面图形的面积;
B) 体积(旋转体的体积等);
C)平面曲线的弧长;

......引力,作功等.

PS:看的头大,暂告一段落.

热点排行