FFT-8(基8快速傅里叶变换)
1D傅里叶逆变换:
?
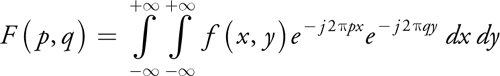
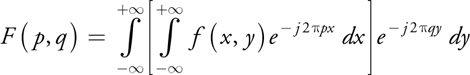
?2D傅里叶变换:

2D傅里叶变换通过两次1D傅里叶变换实现:

由此我们只需要关注1D的傅里叶变换如何处理,又因为我们处理图片的时候都是离散的点信息,最终我们得到的傅里叶变换是:


逆变换:

上述的傅里叶变换公式很直观,图像进行傅里叶变换时,像素点是n,最终转换到频域的时候,结果纹理存储的是k点的集合。(比较重要的是,傅里叶变换和逆变换不同点只有两个:(1/N)和(-kn),这说明他们的算法实现可以共用)
?
快速傅里叶算法(FFT):
先看一下一个8个采样点的快速傅里叶变换,它是基2,基4,基8的快速傅里叶算法的基础:

1.看下面不起眼的stage单词没,它对整个过程划分了几个阶段,个人感觉这里的划分有问题,应该是3个阶段。每个阶段有几个过程:(n个输入:log2(n+1)个阶段:nlog2(n)次复数乘法和加法)
(1)排序过程:黄颜色的部分,执行排序功能,让需要计算的两个值排在一起进行计算。
k = BIT_REVERSE(n)
(2)加权过程:蓝颜色部分,相乘的两个位置为奇数位的需要乘一个W(n0),看上面好像只有第1个阶段是对的,其实第2个和第3个阶段如果排完序就是对的了。
(3)蝶形算法过程:
一次蝶形运算:两次复数加法 + 两次复数乘法 (复数加法:2次浮点加法 ? 复数乘法:4次浮点乘法+2次浮点加法) 一次蝶形运算 = 8次浮点乘 + 8次浮点加

?
FFT算法实现:
1.FFT:
2D的就是做两次1D的FFT运算
?
参考:
http://www.librow.com/articles/article-10