《Algorithms》第8章:NP完全问题 学习笔记
/** 第0~第8章的全部笔记已经整体在http://zjsblog.com/ALGO/index.html* Algorithms 是一本很经典的算法入门书,希望对朋友们有所帮助*/
Chapter 8:NP-完全问题
8.1 一些搜索问题:
搜索问题定义:一个搜索问题是由一个算法C描述的,以问题实例I和一个可能的解S为输入,运行在关于|I|的多项式时间内。我们说S是I的一个解,当且仅当C(I,S) = true。
可满足性问题(简称SAT)问题定义:给定一个采取合取范式的布尔公式,为其找到一个可满足赋值或判定该赋值不存在。eg:

旅行商问题(TSP)给定n个顶点和两两之间的距离,以及预算b。我们需要确定一条路线,该路线为一个恰好经过每个顶点一次的环,且总的预算不能超过b,否则报告解不存在。
什么情况下,可以一笔画某个图形?a)该图是连通的b)除最多两个顶点外,所有顶点上的边数都为偶数
Euler路径的搜索问题如下:给定一个图,寻找一条恰好包含每条边一次的路径。
Rudrata环路搜索问题如下:给定一个图,求一条经过每个顶点恰好一次的环路,或者报告该环路不存在。
整数线性规划(ILP)在线性规划中,所有的数值必须都是整数。问题定义:给定A和b,求一个非负整数值向量x,满足不等式Ax<=b,或者报告该解不存在。至今没有高效解法
ILP有一个困难的特例:目标是求0和1构成的向量x,满足Ax=1,其中A是一个由0和1构成的m*n阶矩阵。我们称之为零一方程(ZERO-ONE EQUATION,ZOE)
3D匹配有n个男孩,n个女孩和n个宠物,他们之间的相容关系被表达为一个三元组的集合,集合中每个元素都包含一个男孩、一个女孩和一个宠物。我们需要求n个独立的三元组,从而形成n个和谐的“家庭组合”。

独立集、顶点覆盖和团独立集问题:给定一个图和整数g,目标求图中的g个互相独立的顶点。顶点覆盖问题:给定一个图和预算b,求b个能覆盖到每条边的顶点。顶点覆盖是集合覆盖的一个特例。团问题:给定一个图以及目标g,求图中的g个顶点,使得这些顶点间两两都存在相连的边。
背包问题与子集和动态规划给出了背包问题一个O(nW)的算法(填一个n*W的表格)。由于运行时间中包含的是W而不是logW,因此该时间与输入规模(输入位数)是指数关系。背包问题有多项式时间算法吗?至今现在还没人知道答案。另一个变型:假设每件物品的价值都等于其重量。等价于求一个整数集子集的问题,目标是使子集中的所欲元素的和恰好为W。这个问题也非常困难。
8.2 NPC问题
困难的问题和容易的问题:

P和NP我们将所有搜索问题称为NP问题。所有能在多项式时间内求解的搜索问题被记为P。
搜索问题中的归约:由搜索问题A到搜索问题B的归约是一个多项式时间算法f,其将A的任何实例I转化为问题B的实例f(I);同时存在另一个多项式时间算法h,将f(I)的任意解S映射到I的一个解h(S),具体过程如下:
称一个搜索问题是NP完全的,是指其它所有搜索问题都可以归约到它。一个问题要成为NPC,它必须能用于解决世界上所有的搜索问题。
使用归约的两种途径如果问题A可以归约为问题B(A->B),则a)如果能高效求解B,也一定能高效求解Ab)如果A是难的,则B也是难的
8.3 所有的归约
搜索问题的相互归约:
为什么说是互相归约的?上图中所有的NPC问题都可以归约为电路SAT问题,电路SAT可以归约为SAT问题,所以构成环。
Rudrata(s,t)-路径 --> Rudrata环路Rudrata(s,t)-路径问题:指定两个特殊的顶点s,t,然后求一条由s到t的恰好经过每个顶点一次的路径。Rudrata环路问题:给定一个图,求是否存在一个恰好经过每个顶点一次的环路以下归约告诉我们前者不会比后者难:
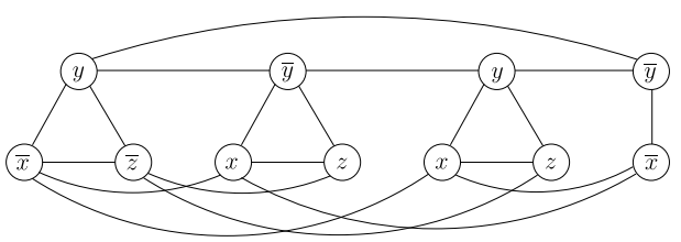
3SAT --> 独立集这里用一个具体的例子说明了归约过程,考虑3SAT:

我们将每一个子句表示为一个三角形,例如 子句(~x ∨ y ∨ ~z) (~x表示x取反),其中顶点分别标注为~x,y,~z。对所有子句重复这一做法。然后连接子句和子句间相反的文字(比如x和~x连接)我们得到的最终图形如下:
我们只需找到大小为4的独立集即可(4从哪里来?答:4为子句的数量)
SAT --> 3SAT用如下方法进行归约:
证明:1)假设右侧子句都满足,则a_1,a_2,...,a_k中至少有一个为真,否则y_1必须为真,进而使y_2必须为真,依次类推,最终导致右侧最后一个子句不满足,矛盾。因此a_1 ∨ a_2 ∨ ... ∨ a_k 必然满足。2)假设左侧子句满足,则必有某个a_i为真。令y_1,...y_i-2 为true,其余的都为false。这使得右侧满足。
独立集 --> 顶点覆盖节点集合S是图G(V, E)的一个顶点覆盖,当且仅当剩余节点的集合V-S是G中的一个独立集。证明(反证):1)“ => ”若V-S不是独立集,则必存在一条边e相连V-S中的两个顶点,则此边e没有被S中的顶点覆盖到,故S不是顶点覆盖,矛盾。2)“ <= ”若S不是顶点覆盖,则必存在一条边e的两个顶点都不在S中,则此两顶点必在V-S中,则V-S不是独立集,矛盾。
独立集 --> 团问题节点集S是G的一个独立集当且仅当S是G的补图中的一个团
3D匹配 --> ZOE转换过程如下:
A中的5列对应于5个三元组(eg,第一列对应于左图标记为1的三元组,以此类推),9行则分别对应于Al、Bob、Chet、Alice、Beatrice、Carol、Armadillo、Bobcat、Canary。则只需找到一个x,使得Ax=1,即可。若x = (1,1,0,1,0)T,则原3D匹配问题的答案为选择标号为1、2、4的三元组。
ZOE --> 子集和例如,给定如下ZOE实例:

我们要求A的一个列集合,将其相加恰好为值全部为1的向量。如果我们将列看成是二进制整数(自上向下读),则我们所求的就是整数18、5、4、8的一个子集,其中的数相加等于二进制数 11111 = 31。这恰好是子集和的一个实例。归约完成。
任意NP问题 --> SAT归约思路:任意NP问题 --> 电路SAT --> SAT1)任意NP问题 --> 电路SAT假设A是一个NP问题,我们所知的全部就是它是个搜索问题,主要特征是其任意解都能被快速检验。即存在算法C,以问题实例I和可能解S作为输入,判断S是否为I的解。此外C做出判断的时间关于I的长度是多项式规模的。因为任意多项式算法都可以被表示为一个电路,所以我们可以再多项式时间内构造一个电路,其已知输入为I对应的比特,未知输入为S对应的比特,则其最终输出为true当且仅当未知输入对应的S为I的解。2)电路SAT --> SAT归约方案如下:
