首页 诗词 字典 板报 句子 名言 友答 励志 学校 网站地图
当前位置: 首页 > 教程频道 > 其他教程 > 其他相关 >

Sallen-Key 有源滤波器(二)

2013-01-04 
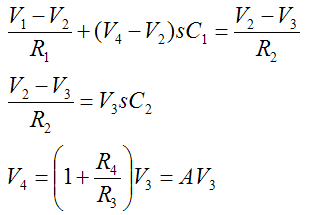
Sallen-Key 有源滤波器(2)如果要求放大倍数大于1,可以采用下面的电路,放大倍数A1R4/R3。列写电路方程如下。

Sallen-Key 有源滤波器(2)

如果要求放大倍数大于1,可以采用下面的电路,放大倍数A=1+R4/R3。

Sallen-Key 有源滤波器(二)

列写电路方程如下。

Sallen-Key 有源滤波器(二)

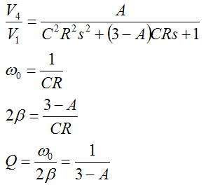
可以解得:

Sallen-Key 有源滤波器(二)

如果设R1=R2=R,C1=C2=C,则上面的式子可以简化为:

Sallen-Key 有源滤波器(二)

另外多说一句,Sallen-Key 低通滤波器的高频截止特性并不好,原因在于C1 横跨在输入与输出之间了。

对于高频信号,运放的增益很低,我们可以认为这时运放不起作用了, 输入信号直接越过C1 到达了输出端。

下面给出一个电路仿真的结果,低通滤波器增益为1,R1=R2=1K,C1=220nF,C2=110nF,截止频率为1KHz,Q值为0.7。运放选的是OP07,增益带宽积为8MHz。


Sallen-Key 有源滤波器(二)

不用过多解释了,高频时的特性一目了然。



热点排行