基于neighborhood models(item-based) 的个性化推荐系统
相关文章:
基于baseline和stochastic gradient descent的个性化推荐系统
基于baseline、svd和stochastic gradient descent的个性化推荐系统
转载请注明:转自 zh's note http://blog.csdn.net/wuzh670/
文章主要介绍的是koren 08年发的论文[1], 2.2neighborhood models部分内容(其余部分会陆续补充上来)。
koren论文中用到netflix 数据集, 过于大, 在普通的pc机上运行时间很长很长。考虑到写文章目地主要是已介绍总结方法为主,所以采用Movielens 数据集。
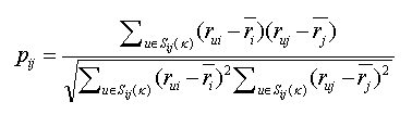
变量介绍(涉及到的其他变量可以参看上面提到的相关文章):

利用pearson相关系数,求i,j之间的相关性。

文章中提到shrunk correlation coefficient(收缩的相关系数),收缩后pearson相关系数作为i,j相似性,后面会通过实践证明收缩的效果会更好。

预测值:

系统评判标准:RMSE, MAE


系统采用5-fold cross-validation(movielens数据集中已经默认划分好了)
注: 用SGD来训练出最优的用户和项的偏置值,后续会补充完整。
详细代码实现:
从图中容易得出使用收缩的相关系数的必要性和有效性。
REFERENCES
1.Y. Koren. Factorization Meets the Neighborhood: a Multifaceted Collaborative Filtering Model. Proc. 14th ACM SIGKDD Int. Conf. On Knowledge Discovery and Data Mining (KDD’08), pp. 426–434, 2008.
2. Y.Koren. The BellKor Solution to the Netflix Grand Prize 2009