首页
诗词
字典
板报
句子
名言
友答
励志
学校
网站地图
编程
C++
C语言
C++ Builder
VB
PB
Ruby Rails
perl python
编程
其他开发语言
VBA
VC/MFC
当前位置:
首页
>
教程频道
>
开发语言
>
编程
>
JAVA多种排序算法时间实测(算法课作的)
2012-12-27
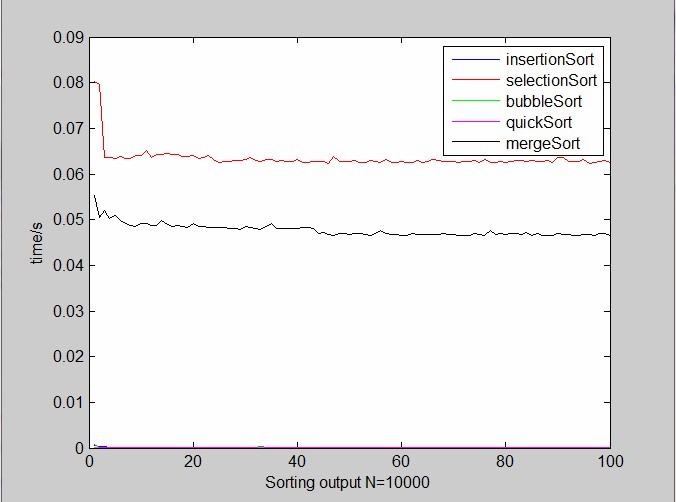
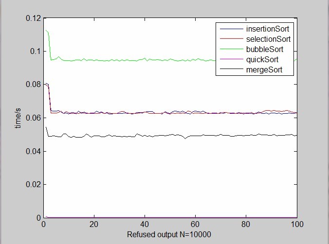
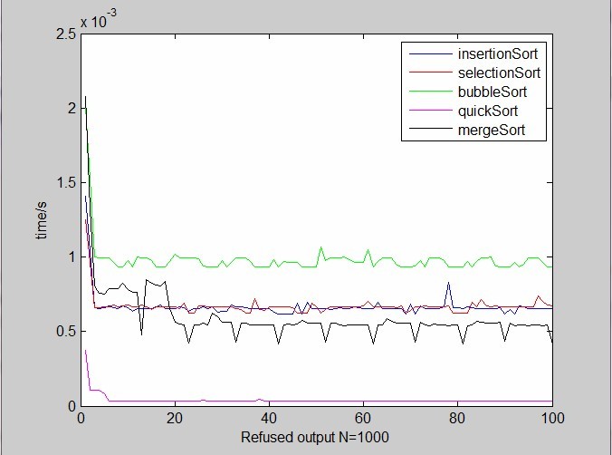
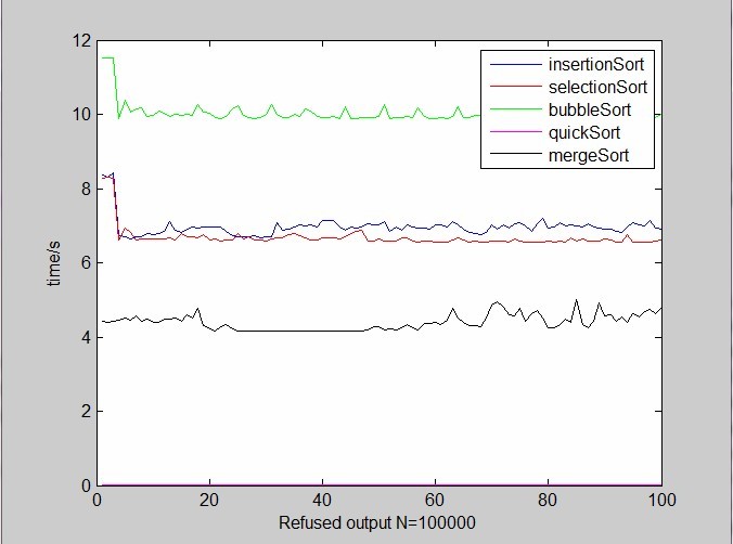
JAVA多种排序算法时间实测(算法课做的)代码都貌很容易找到,这里大致把我测试的结果放下,用matlab做了一个
JAVA多种排序算法时间实测(算法课做的)
代码都貌似很容易找到,这里大致把我测试的结果放下,用matlab做了一个统计。
查看更多
下一篇
本文网址:
https://www.reader8.net/jiaocheng/20121227/1866111.html
读书人精选
热点排行
maven 项目平添Maven Dependencies Libr
java类静态域、块,非静态域、块,结构函
Golang的slice圈套
Spring2 兑现AOP编程的两种实现方法
树的底层实现(下)
多线程程序的评量基准
struts2札记之第七讲
jquery 用ID取某个元素上的某个ID元素
聚合总结
步骤的重写和重载