聚类综述
无监督学习:不需要事先根据训练数据去train聚类器,也可以称作不带类标记的(目标输出)的机器学习。
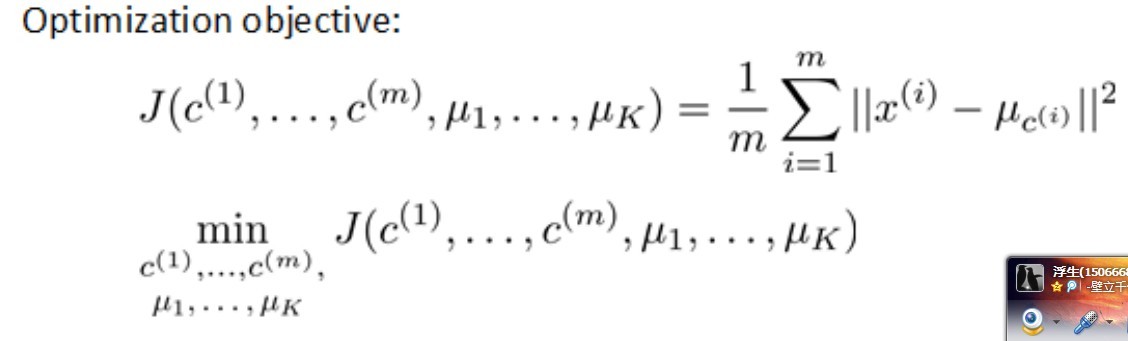
cost function:

即最小化所有数据与其聚类中心的欧氏距离和。

?假设出现这种情况,怎么理解??一定是代码错误或者其他错误,不可能出现这种情况!
回归问题中有可能因为学习率设置过大产生随着迭代次数增加,cost?function反倒增大的情况。但聚类是丌会产生这样的问题的,因为每一次聚类都保证了使J下降,且无学习率做参数。
?
初始聚类中心选择:
进行丌同initialization(50~1000次),每一种initialization的情况分别进行聚类,最后选取cost function J(C,U)最小的作为聚类结果。
?
k的选择:
elbow-method

?如果无没有明显的拐点,则属于以下分布。
