程序员绘图利器 — Graphviz
概述
官网:http://www.graphviz.org/
Graphviz (Graph Visualization Software) 是一个由AT&T实验室启动的开源工具包。DOT是一种图形描述语言,非常简单的,
Graphviz就是用来处理这种语言的工具。只需要简单了解一下DOT语言,就可以用Graphviz绘图了,它对程序员特别有用。
So in short, if you are a programmer, it is born for you。
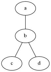
无向图
graph graphname { a -- b -- c; b -- d;}
有向图
digraph graphname { a -> b -> c; b -> d;}
属性
//DOT语言中,可以对节点和边添加不同的属性。digraph graphname { //节点的属性,节点的名称 a [lable = "Foo"]; //节点的属性,节点的形状 b [shape = box]; //边的属性,边的颜色 a -> b -> c [color = blue]; //边的属性,边的线状 b -> d [style = dotted];}基本图形
digraph G {//把图片的尺寸设为4inch * 4inchsize = "4,4";main [shape = box];//边的重要程度,默认是1main->parse [weight = 8];parse->execute;//点状线main->init[style = dotted];main->cleanup;//连接了两条线execute->{make_string;printf}init->make_string;//把边的默认颜色设为rededge [color = red];main->printf [sytle=bold, label = "100times"];//节点的名称make_string [label = "make a\nstring"];//设置节点的默认属性node [shape=box,style =filled,color=lightgrey];execute->compare;}

多边形
digraph G{a -> b -> c;b -> d;/* 形状为多边形,边数为5,外框为3条,颜色为淡蓝,样式为填充 */a [shape = polygon, sides = 5, peripheries = 3, color = lightblue, style = filled];/* 形状为多边形,边数为4,角的倾斜度为0.4,内容为hellow world*/c [shape = polygon, sides = 4, skew = 0.4, label = "hello world"];/* 形状为倒三角,整体旋转30度 */d [shape = invtriangle,orientation = 30];/* 形状为多边形,边数为4,扭曲度为0.7 */e [shape = polygon, sides = 4, distortion = 0.7];}

数据结构
(1)复杂的标签
digraph structs {/* 把节点的默认形状设为矩形record,默认的是圆角矩形Mrecord */node [shape = record];struct1 [label = "left|middle|right"];struct2 [label = "one|two"];struct3 [label = "hello\nworld|{b|{c|d|e}|f}|g|h"];struct1 -> struct2;struct1 -> struct3;}
graph picture {//这幅图的名字label = "I love you";//图名字的位置在bottom,也可以是tlabelloc = b;//图名字的位置在left,也可以是rlabeljust = l;edge[decorate = true];C -- D [label = "s1"];C -- E [label = "s2"];C -- F [label = "s3"];D -- E [label = "s4"];D -- F [label = "s5"];edge[decorate = false, labelfontcolor = blue, fontcolor = red];C1 -- D1 [headlabel = "c1",taillabel = "d1",label = "c1 - d1"];}
(2)行列对齐
digraph html {rankdir = LR;{node[shape = plaintext];1995 -> 1996 -> 1997 -> 1998 -> 1999 -> 2000 -> 2001;}{node[shape = box, style = filled];WAR3 -> Xhero -> Footman -> DOTA:WAR3 -> Battleship;}{rank = same; 1996; WAR3;}{rank = same; 1998; Xhero; Battleship;}{rank = same; 1999; Footman;}{rank = same; 2001; DOTA;}}

(3)二叉树
digraph G {label = "Binary search tree";node [shape = record];A [label = "<f0>|<f1>A|<f2>"];B [label = "<f0>|<f1>B|<f2>"];C [label = "<f0>|<f1>C|<f2>"];D [label = "<f0>|<f1>D|<f2>"];E [label = "<f0>|<f1>E|<f2>"];F [label = "<f0>|<f1>F|<f2>"];G [label = "<f0>|<f1>G|<f2>"];A:f0 -> B:f1;A:f2 -> C:f1;B:f0 -> D:f1;B:f2 -> E:f1;C:f0 -> F:f1;C:f2 -> G:f1;}

(4)哈希表
digraph G{nodesep = .05;rankdir = LR;node [shape = record,width = .1,height = .1];node0 [label = "<f0>|<f1>|<f2>|<f3>|<f4>|<f5>|<f6>|",height = 2.5];node [width = 1.5];node1 [label = "{<n>n14|719|<p>}"];node2 [label = "{<n>a1|805|<p>}"];node3 [label = "{<n>i9|718|<p>}"];node4 [label = "{<n>e5|989|<p>}"];node5 [label = "{<n>t20|959|<p>}"];node6 [label = "{<n>o15|794|<p>}"];node7 [label = "{<n>s19|659|<p>}"];node0:f0 -> node1:n;node0:f1 -> node2:n;node0:f2 -> node3:n;node0:f5 -> node4:n;node0:f6 -> node5:n;node2:p -> node6:n;node4:p -> node7:n;}

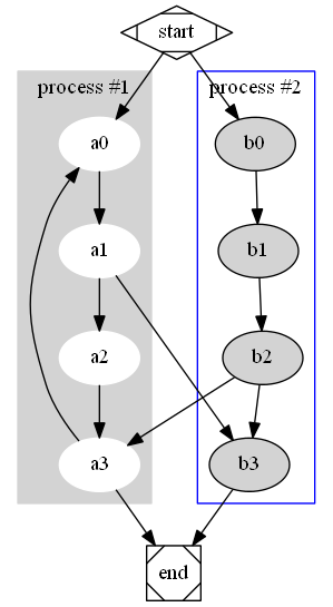
流程图
digraph G{subgraph cluster0 {node [style = filled,color = white];style = filled;color = lightgrey;a0 -> a1 -> a2 -> a3;label = "process #1";}subgraph cluster1 {node [style = filled];b0 -> b1 -> b2 -> b3;label = "process #2";color = blue;}start -> a0;start -> b0;a1 -> b3;b2 -> a3;a3 -> a0;a3 -> end;b3 -> end;start [shape = Mdiamond];end [shape = Msquare];}
Reference
[1] http://zh.wikipedia.org/zh-cn/DOT语言,DOT语言简明介绍。
[2] http://zh.wikipedia.org/zh/Graphviz,简单背景知识。
[3] Graphviz中文指南。