动态规划-装配线调度
问题描述:
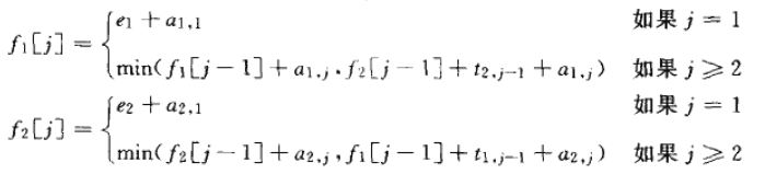
一个找出通过工厂装配线的最快方式的制造问题。共有两条装配线,每一条装配线上有n个装配站,编号为j = 0, 1, … , n – 1。装配线i(i = 0或1),在装配站S[i][j]上所需的装配时间记为a[i][j]。一个汽车底盘进入工厂,然后进入装配线i的进入时间为e[i],在通过一条线的第j个装配站后,这个底盘来到任一条线的第(j + 1)个装配站。如果留在相同的装配线上,则没有移动的开销;如果在装配站S[i][j]后,它移动到了另一条线上,则花费时间t[i][j]。在离开一条线的第n个装配站后,完成的汽车离开装配线i的离开时间为x[i] 。

状态转移方程:

代码实现:
参考:算法导论第十五章动态规划--工厂装配线c++代码实现-http://blog.csdn.net/liuzhanchen1987/article/details/7831a723