首页 诗词 字典 板报 句子 名言 友答 励志 学校 网站地图
当前位置: 首页 > 教程频道 > 开发语言 > C语言 >

C语言名题精选百则——数字有关问题

2012-11-14 
C语言名题精选百则——数字问题??C语言名题精选百则——数字问题尊重他人的劳动,支持原创这篇博文,D.S.Qiu将对

C语言名题精选百则——数字问题

?

?

C语言名题精选百则——数字问题

尊重他人的劳动,支持原创

这篇博文,D.S.Qiu将对《C语言名题精选百则》第二章进行整理推出,本章一共16个问题,不光只是书上的名题,还会依据互联网的资源进行不断补充,加强(由于匆忙,暂时还只是罗列的过程,不过很快就有深度的发掘)。如果你有建议、批评或补充,请你不吝提出(email:gd.s.qiu@gmail.com,或者直接在本文末评论)。你的支持和鼓励,我将渐行渐远!

这篇博文整理的太艰难了,其中一度想放弃,个人觉得难度有点大,如果没有需求驱动的话,很难读下去,但最终为了保持文章的完整性,还是硬着头皮去截图整理。这16个问题主要经常的是对质数的求解,因式分解,整数自乘(快速求解),Fibonacci数(快速求解),二项式求解(快速求解),阶乘(快速求解),这些都是数论或者组合数学的基本内容,但要通过计算机基本求解的算法赴复杂度过高,文中给出了相应的快速算法,对有需求的读者来说,还是可以喜出望外的(也只是大概的理解了下),应该还有更多精彩的求解方法(日后定当补充)。终于写完了,没有你的支持和鼓励,很难继续下去,下一篇是《排列,组合与集合》。

问题2.1 Armstrong 数(ARMS1.C,ARMS2.C )

在三位的正整数中,例如abc,有一些可以满足a3+b3+c3?= abc的条件,也就是说, 各个位数的立方和正好是该数的本身,这些数称为Armstrong数。试编写一个程序来求出

所有的三位Armstrong数。

?

【说明】

这是个常见的问题,许多课本、习题集都有。解决的基本方法就在于有没有办法从一 个三位数中把它的3个位数取出(例如,把379分解成3、7与9),或者在已知3个位数 时把该三位数算出来(例如,已知百位为5,十位为1,个位为9,则三位数为519)。

另一个变形是给出一个数,证明它是否为一个Armstromg数。这两者类似,由自己产 生的数可以永远控制在三位,但是后者却一定要去测试它是不是三位数。

如何测试一个数是否为三位数呢?有的书中介绍这样一种方法(见程序UGLY.C), 使用对数log()以及指数exp()函数,不仅如此,还要用四舍五入(在C语言中只好加上 0.5再转型成整数)。为什么?原来只是在取出输入数据的某一个位数而已。一个简单的 程序写得如此复杂,大多数初学者恐怕都很难看明白。在此给出一个提示,千万不要重蹈覆辙。

(1)如果要确认x是个五位数,就看x/100000是否为零。如果为零,那么x的位数 不会超过五位。接着再检查x是否真的是五位,这就要看:

(x % 100000)/10000

是否为零,如果不为零,这个值就是x中从右向左数第五位数的值;如果是零,x就最多只能有四位而已。为什么?因为x%100000是把x用100000去除的余数,值在0?99999 之间,正是x的右边五位,再用10000去除,那就是第五位的值了;如果x是五位数,那么这个位数就一定大于1,如程序2-1所示。

?

【程序】

程序2-1(UGLY.C)

?

试编写一个程序进行破解(看下面的规则说明)。

?

【说明】

数字谜的规则是这样的:

(1)不同的英文字母表示不同的数字。因此,题目中最右边一行的T、Q、E就是不同的数。

(2)每一个数最左边一位不是0。所以上面的谜题中,V、C、T都不是0。

(3)上面的题目是加,那就表示VINGT这个五位数与CINQ这个四位数的两倍相加 后,会得到TRENTE这个六位数,并且数字的安排如谜语所示。

在解这些数字谜时,很多人都会不知不觉地用最笨拙的方法,因此可能执行好几分钟, 甚至好几小时都得不到结果。就以上题为例,它一共有9个不同的字母,因此耗用10个数 字符号中的9个,很多人就会写出下面的形式,如程序2-2所示。

【程序】

程序2-2

for(v=1;v<=9;v++)

for(I=0;I<=9;I++)

……

for(E=0;E<=9;E++)

{

VINGT=……;

CINQ=……;

TRENTE=……;

if(TRENTE == VINGT + CINQ +CINQ)

{

……

}

}

如果用这个程序,那么也许一两个小时也不一定能够算出结果,因为在最内层循环中 的if 一共要执行将近10^9,近一亿次,所以这是最笨的方法。通常,用一点小学算术知识就可以节省大量的计算时间。换言之,可以用四则运算来 找出某个字母值的范围(如偶数、奇数、5?9、3或4等,而不是0?9),范围越小,程序的工作就越少,执行起来就越快。

?

不妨从这一点出发,就本题而给出一些提示:

(1)因为3个位数相加,最大就是9+9+9=27,如果从这一个位数的右边一位会有进 位,那么这个进位就最多是2,所以3个位数再加上进位的最大值是29,所以该位数和是 9,而进位是2。

(2)现在看V那位,加上进位之后得到TR,因为V最大是9,进位最大是2,所以 TR的最大值是11。因为T是结果的第一位,所以不能是0,因此只好是1;但结果前两位 是TR, TR最大是11,现在T是1,于是R只能是0。注意,如果R是2?9中任意一个, 那就表示没有从R到T的进位,因而T就是0 了。所以从一点看来,两个值就固定了,即T=1, R=0。

(3)再来看V,V—定大于8。为什么?千位数的进位最大是2,要一个数加上2而 有两位数,那么这个数不就至少是8吗?

(4)看个位数的E。它是由T加上两个Q得来的,已知T是1,而2Q—定是偶数, 所以E是个奇数。

就用这4点提示,T与R的循环就不必了; E的循环有3、5、7、9 (注意,T是1, E 就不能用1); V的循环只能用8与9。还没有决定的就剩下I、N、G、C与Q5个,所以循 环就有7层,I、N、G与Q为0?9; C为2?9 (因为C是第一位,不能是0,也不能是1, 因为T是1),E是3、5、7、9; V是8与9,所以最内层的if就执行了 10^4x7x4x2次而已,于是用这个方法写成的程序所花的时间大约是前面所提到的:

10^4x7x4x2/10^9=0.056%

因此可以看到节省了多少时间。

思考一下,另外是否还有其他可以节省时间的方法呢?

?

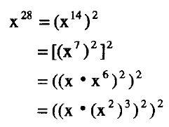
问题实现

?

?个乘法吗?
问题实现

C语言名题精选百则——数字有关问题C语言名题精选百则——数字有关问题
?【问题实现】

可以用这个观点来编写程序。

问题实现
C语言名题精选百则——数字有关问题?
C语言名题精选百则——数字有关问题
?问题实现
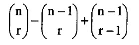
?对于每一个c(n,r)而言,如果它左上角与右上角的两个元素都算出来了,那么就可以 算出C(n,r)。所以,在图11-10中可以从左上到右下一列一列地算,或者是从右上到左下一行一行地算;换句话说,可以算出C(2,1),C(3,2),C(4,3),再算C(3,1),C(4,2),C(5,3),…;但也可以先算 C(2,1),C(3,1),C(4,1),C(5,1),C(6,1),再算 C(3,2),C(4,2),…,C(7,2)等。此处打算用一列一列的方式。在开始时准备一个数组c[],其容量至少有r,它的内容全是1,代表图11-10中的C(0,0),C(1,1),…,C(r,r)。接下来,对每一个c[i]而言,1≤r≤r, 令 c[i]为 c[i】+c[i-1],即为:C(2,1) = C(1,0) + C(1,1), C(3,2) = C(2,l) + C(2,2)。注意,在算C(2,l)时,它要用到C(1,0),这个值是1,目前在c[0];也要用到C(1,1),现在在c[1],因此把c[0]与c[1]相加再放回c[1],于是c[1]中的值就变成C(1,1)了。程序CNR_ADD.C就是用这个观点写成的,在一开始把一个足够大的数组c[]定成1,然后,就把计算的工作循环做n-r次,正好是图11-10中的第一列,第二列,…,第列的计算;对每一列而言,自第一个元素起把它与前一个元素相加。因此计算完后,c[r]中就是 C(n,r)的值。?问题实现?如果使用的语言或编译程序(如Ada)有可以计算任意位整数加、减、乘、除的能力 的话,能够从这个式子找出一个只需要与化C语言名题精选百则——数字有关问题成正比的乘法次数求所有C(n,i),i=0,l,…,n的办法吗?下面假设C语言具有此能力,来编写程序。
【说明】假设给了一个n,能否找出一种方法,用上式把所有C(n,i),i=0,1,…,n都算出来,这是主题。为了方便起见,不妨假设所有运算都可以处理任意位数的整数,而不会造成溢位; 其实有一些语言,如Ada,或是一些链接库都提供了这个能力,所以不必认为如此的假设 不切实际。应用也还不少,包含有把71计算到一百万位,测定任何整数是不是质数以及做 分解因式的程序,还有就是处理多项式;后者在计算几何学、机器人等应用上都有相当重 要的地位。提示:式子中有一个p,它的值是多少?这是要事先决定的。此外,能在大约C语言名题精选百则——数字有关问题个乘法 的限制下求出所有C(n,r)吗?此时n是输入,或许需要用到一些处理数元的技巧。
C语言名题精选百则——数字有关问题
?
C语言名题精选百则——数字有关问题
?
C语言名题精选百则——数字有关问题
?
C语言名题精选百则——数字有关问题
?【问题实现】

??问题2.14快速阶乘运算(FACTLOG2.C )在问题2.13中己经看过用与C语言名题精选百则——数字有关问题个乘法成正比的技巧来算出C(n,r),请问有没有办 法利用这个结果设计一个求n!的程序,它只用与(C语言名题精选百则——数字有关问题)2成正比的乘法(所有有关硬件、 语言的假设同问题2.13)。
【说明】
要做到只用C语言名题精选百则——数字有关问题?个乘法,老手们马上就会想到分而治之,完全正确。但是,如果分而治之不在合适的地方分,用错了方法去治,常常就会得不偿失。下面是作者在某篇文章 中看到的做法,如程序2-5所示。
【程序】
程序2-5
unsigned long fact(int m, int n)if (m==n)return melsereturn fact(m,(m+n)/2)*fact((m+n)/2+1,n);}请问这个程序快了没?没有,不但如此,反而慢了。C语言名题精选百则——数字有关问题)2?成正比的程序。另外,我们知道计算所有C(n,i)也不过 用了?C语言名题精选百则——数字有关问题个乘法,因此能不能用某个C(n,i)来帮忙算n!呢?

C语言名题精选百则——数字有关问题
?
C语言名题精选百则——数字有关问题
?问题实现
??
问题2.15更快的阶乘算法(FACTLOGC )请仔细研究问题2.14,编写出一个只用与C语言名题精选百则——数字有关问题成正比的乘法个数,计算n!的程序。
【说明】
问题2.14的解法是有进一步改良的余地的。用递归方法,通过下式计算:
C语言名题精选百则——数字有关问题
?一样,它也有一些被重复计算的地方,如果能够把它找出来,程序自然就可以做到乘 法个数与lon2n成正比的地步。仔细做一做问题2.14的习题(1)与习题(2),必会有所收获。?
C语言名题精选百则——数字有关问题
C语言名题精选百则——数字有关问题
C语言名题精选百则——数字有关问题
?
C语言名题精选百则——数字有关问题
?问题实现
??问题2.16连续整数的固定和(GIVENSUM.C )编写一个程序,读入一个正整数,把所有那些连续的和为给定的正整数的正整数找出 来。例如,如果输入27,发现2?7、8?10、13与14的和是27,这就是解答;如果输入 的是10000,应该有18?142、297?1328、388?412、1998?2002这4组。注意,不见得 一定会有答案,譬如说4、16就无解;另外,排除只有一个数的情况,否则每一个输入就 都至少有一个答案,就是它自己。
【说明】任何人看到这个题目都会马上想到一个办法,把所有的和算出来,与输入比较。曾经看到过如下的一个解法,如程序2-6所示。
【程序】
程序 2-6 (NOT_GOOD.C)#include <stdio.h>#include <stdlib.h>void main(void){char line[100]; long sum, i, j, n;gets(line); n = atol(line);for (i = 1; i <= n/2; i++){for (sum = i, j = i + 1; j <= n/2+1; j++){sum += j;if (sum == n)printf {" \n%ld - %ld", i, j);}}}它的做法是先固定一个i、sum变量,接着令j从i+1起变化,每次都把j的值加到sum 中,因此sum中的值就是这些连续整数的和。因此令i从1变到n/2 (n是给定的 值),而j从i+1变到n/2+l,如果有一个和与n相同,就显示i与j,表示n的值是i到j 这一串连续的正整数的和。为什么i要从1到n/2?很简单,如果i是n/2,下一个数就是 n/2+l,于是这两个(连续的)数的和n/2+(n/2+l)=n+l就大于n,所以i最多只能到n/2; 同理可以说明j不可以大过n/2+1。这个程序当然是对的,但运行太慢了!用1_作为输入,它一共执行了 311.71秒, 也就是5分钟多;但事实上,这个题目可以在不到一秒之内得出答案,而且当输入1000000 (100万)时,也不过用178.12秒(3分钟)左右而己,相比之下NOTLCOOD.C的效率实 在太低了。问题出在什么地方?加法次数太多了。在上面的程序中,i与j的关系永远满足?1≤i≤n ,??i + 1≤j≤n + 1, i<j;每一组i与j都会做一次加法,所以就一共做了大约n2/8个加法(这是个近似值);当n=10000时,就大约是1250万个。不过,一个好程序员应该研究是否有更好的方法存在,事实上就有一个,大约需要2n个加法就足够了,能想得出来吗?下面是几点有用的提示:(1)如果在求和时是用 i+ (i + 1)+…+j表示,那么i≤n/2;这是上面提过的。(2)如果某个和i+(i+1)+…+比给定的值大,那么把和变小,但仍然维持是一串连 续整数的和时,拿掉j变成i + (i + 1)+…十(j-1),不如拿掉i变成(i + l) +…+j。为什么?因为j比i大,拿掉j,和就下降太快了,不如拿掉i,再慢慢降低(能用数学来证明吗?)(3)如果和 i+ (i +1) +…+j比给定值小,加上j +1变成的i+…+j十(j-1);道理同前。有了这几点,编程应该不会是件难事了。
问题实现"\n\nSorry,?there?is?NO?solution?at?all.");??
  • }??
    参考:C语言名题精选百则技巧篇 冼镜光编著 第二章

  • 热点排行
    Bad Request.