【OpenCV】SIFT原理与源码分析:关键点搜索与定位
《SIFT原理与源码分析》系列文章索引:http://blog.csdn.net/xiaowei_cqu/article/details/8069548
由前一步《DoG尺度空间构造》,我们得到了DoG高斯差分金字塔:

如上图的金字塔,高斯尺度空间金字塔中每组有五层不同尺度图像,相邻两层相减得到四层DoG结果。关键点搜索就在这四层DoG图像上寻找局部极值点。
DoG局部极值点寻找DoG极值点时,每一个像素点和它所有的相邻点比较,当其大于(或小于)它的图像域和尺度域的所有相邻点时,即为极值点。如下图所示,比较的范围是个3×3的立方体:中间的检测点和它同尺度的8个相邻点,以及和上下相邻尺度对应的9×2个点——共26个点比较,以确保在尺度空间和二维图像空间都检测到极值点。

在一组中,搜索从每组的第二层开始,以第二层为当前层,第一层和第三层分别作为立方体的的上下层;搜索完成后再以第三层为当前层做同样的搜索。所以每层的点搜索两次。通常我们将组Octaves索引以-1开始,则在比较时牺牲了-1组的第0层和第N组的最高层

高斯金字塔,DoG图像及极值计算的相互关系如上图所示。



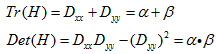
D值可以通过求临近点差分得到。H的特征值与D的主曲率成正比,具体可参见Harris角点检测算法。为了避免求具体的值,我们可以通过H将特征值的比例表示出来。令为最大特征值,
为最小特征值,那么:
Tr(H)表示矩阵H的迹,Det(H)表示H的行列式。令表示最大特征值与最小特征值的比值,则有:
上式与两个特征值的比例有关。随着主曲率比值的增加,也会增加。我们只需要去掉比率大于一定值的特征点。Lowe论文中去掉r=10的点。
// Interpolates a scale-space extremum's location and scale to subpixel// accuracy to form an image feature. Rejects features with low contrast.// Based on Section 4 of Lowe's paper.// 特征点精确定位static bool adjustLocalExtrema( const vector<Mat>& dog_pyr, KeyPoint& kpt, int octv, int& layer, int& r, int& c, int nOctaveLayers, float contrastThreshold, float edgeThreshold, float sigma ){ const float img_scale = 1.f/(255*SIFT_FIXPT_SCALE); const float deriv_scale = img_scale*0.5f; const float second_deriv_scale = img_scale; const float cross_deriv_scale = img_scale*0.25f; float xi=0, xr=0, xc=0, contr; int i = 0;//三维子像元插值 for( ; i < SIFT_MAX_INTERP_STEPS; i++ ) { int idx = octv*(nOctaveLayers+2) + layer; const Mat& img = dog_pyr[idx]; const Mat& prev = dog_pyr[idx-1]; const Mat& next = dog_pyr[idx+1]; Vec3f dD((img.at<short>(r, c+1) - img.at<short>(r, c-1))*deriv_scale, (img.at<short>(r+1, c) - img.at<short>(r-1, c))*deriv_scale, (next.at<short>(r, c) - prev.at<short>(r, c))*deriv_scale); float v2 = (float)img.at<short>(r, c)*2; float dxx = (img.at<short>(r, c+1) + img.at<short>(r, c-1) - v2)*second_deriv_scale; float dyy = (img.at<short>(r+1, c) + img.at<short>(r-1, c) - v2)*second_deriv_scale; float dss = (next.at<short>(r, c) + prev.at<short>(r, c) - v2)*second_deriv_scale; float dxy = (img.at<short>(r+1, c+1) - img.at<short>(r+1, c-1) - img.at<short>(r-1, c+1) + img.at<short>(r-1, c-1))*cross_deriv_scale; float dxs = (next.at<short>(r, c+1) - next.at<short>(r, c-1) - prev.at<short>(r, c+1) + prev.at<short>(r, c-1))*cross_deriv_scale; float dys = (next.at<short>(r+1, c) - next.at<short>(r-1, c) - prev.at<short>(r+1, c) + prev.at<short>(r-1, c))*cross_deriv_scale; Matx33f H(dxx, dxy, dxs, dxy, dyy, dys, dxs, dys, dss); Vec3f X = H.solve(dD, DECOMP_LU); xi = -X[2]; xr = -X[1]; xc = -X[0]; if( std::abs( xi ) < 0.5f && std::abs( xr ) < 0.5f && std::abs( xc ) < 0.5f ) break;//将找到的极值点对应成像素(整数) c += cvRound( xc ); r += cvRound( xr ); layer += cvRound( xi ); if( layer < 1 || layer > nOctaveLayers || c < SIFT_IMG_BORDER || c >= img.cols - SIFT_IMG_BORDER || r < SIFT_IMG_BORDER || r >= img.rows - SIFT_IMG_BORDER ) return false; } /* ensure convergence of interpolation */// SIFT_MAX_INTERP_STEPS:插值最大步数,避免插值不收敛,程序中默认为5 if( i >= SIFT_MAX_INTERP_STEPS ) return false; { int idx = octv*(nOctaveLayers+2) + layer; const Mat& img = dog_pyr[idx]; const Mat& prev = dog_pyr[idx-1]; const Mat& next = dog_pyr[idx+1]; Matx31f dD((img.at<short>(r, c+1) - img.at<short>(r, c-1))*deriv_scale, (img.at<short>(r+1, c) - img.at<short>(r-1, c))*deriv_scale, (next.at<short>(r, c) - prev.at<short>(r, c))*deriv_scale); float t = dD.dot(Matx31f(xc, xr, xi)); contr = img.at<short>(r, c)*img_scale + t * 0.5f; if( std::abs( contr ) * nOctaveLayers < contrastThreshold ) return false; /* principal curvatures are computed using the trace and det of Hessian */ //利用Hessian矩阵的迹和行列式计算主曲率的比值 float v2 = img.at<short>(r, c)*2.f; float dxx = (img.at<short>(r, c+1) + img.at<short>(r, c-1) - v2)*second_deriv_scale; float dyy = (img.at<short>(r+1, c) + img.at<short>(r-1, c) - v2)*second_deriv_scale; float dxy = (img.at<short>(r+1, c+1) - img.at<short>(r+1, c-1) - img.at<short>(r-1, c+1) + img.at<short>(r-1, c-1)) * cross_deriv_scale; float tr = dxx + dyy; float det = dxx * dyy - dxy * dxy;//这里edgeThreshold可以在调用SIFT()时输入;//其实代码中定义了 static const float SIFT_CURV_THR = 10.f 可以直接使用 if( det <= 0 || tr*tr*edgeThreshold >= (edgeThreshold + 1)*(edgeThreshold + 1)*det ) return false; } kpt.pt.x = (c + xc) * (1 << octv); kpt.pt.y = (r + xr) * (1 << octv); kpt.octave = octv + (layer << 8) + (cvRound((xi + 0.5)*255) << 16); kpt.size = sigma*powf(2.f, (layer + xi) / nOctaveLayers)*(1 << octv)*2; return true;}至此,SIFT第二步就完成了。参见《SIFT原理与源码分析》
转载请注明出处:http://blog.csdn.net/xiaowei_cqu/article/details/8087239