算法导论-透彻了解平衡二叉树(AVL树)
一.平衡二叉树 简介
形态匀称的二叉排序树称为平衡二叉树 (Balanced binary tree) ,其每个结点的左子树和右子树的高度最多差1,严格定义是:
一棵空树是平衡二叉树;若 T 是一棵非空二叉树,其左、右子树为 TL 和 TR ,令 hl 和 hr 分别为左、右子树的深度。当且仅当
1)TL 、 TR 都是平衡二叉树;
2)| hl - hr |≤ 1;
当然,二叉排序树有的性质它都有,复习一下:
1)二叉排序树中任一结点x,其左(右)子树中任一结点y(若存在)的关键字必小(大)于x的关键字。
2)二叉排序树中,各结点关键字是惟一的。
3)按中序遍历该树所得到的中序序列是一个递增有序序列。
看下面的例子:
二.树的旋转
当我们在对AVL树进行插入和删除等操作时,对树做了修改,那么可能会违AVL树的性质。
为了保持AVL树的性质,我们可以通过对树进行旋转,即修改树中相应结点指针结构,以达到对AVL树进行插入、删除结点等操作时,AVL树依然能保持它特有的性质
Adelson-Velskii 和 Landis 提出了一个动态地保持二叉排序树平衡的方法,其基本思想是:
在构造二叉排序树的过程中,每当插入一个结点时,首先检查是否因插入而破坏了树的平衡性,如果是因插入结点而破坏了树的平衡性,则找出其中最小不平衡子树,在保持排序树特性的前提下,调整最小不平衡子树中各结点之间的连接关系,以达到新的平衡。
上面所说的的调整就是旋转。
假设按二叉排序树进行插入的时候需要平衡的节点是a,则不平衡可能出现四种情况:
1)对a的左儿子的左子树进行一次插入。
2)对a的左儿子的右子树进行一次插入。
3)对a的右儿子的左子树进行一次插入。
4)对a的右儿子的右子树进行一次插入。
其中1和4关于a对称,2和3也关于a对称。
1和4的情况(即左左或右右)只需对树进行一次单旋转就可以完成调整,2和3的情况(即左右或右左)需要进行双旋状才能完成。
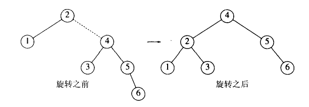
下面用图来说明。
1)单旋转
右右型为例。如下图,在k1的右儿子的右子树进行一次插入,k1为失衡结点。
解决方法:k1右儿子k2为轴向左旋转,其中Y不为空的话需要将Y连接到k1的右子树。





参考文章:
算法导论(第三版)
数据结构与算法分析
http://blog.csdn.net/sagadean/article/details/7081625
http://www.cnblogs.com/fornever/archive/2011/11/15/2249492.html