首页 诗词 字典 板报 句子 名言 友答 励志 学校 网站地图
当前位置: 首页 > 教程频道 > 开发语言 > 编程 >

用matlab兑现感知机学习算法,训练分类器并解决井字游戏

2012-11-11 
用matlab实现感知机学习算法,训练分类器并解决井字游戏问题描述:附件中包含的数据是传统游戏过三关(tic-ta

用matlab实现感知机学习算法,训练分类器并解决井字游戏
问题描述:附件中包含的数据是传统游戏过三关(tic-tac-toe)的900余种棋局, 目的是要通过统计学习的方法让机器自动判别出胜负。数据文件中, 玩家是'x',对手是'o',每行数据包含3*3九宫格的布局情况('x'代表玩家棋子的位置, 'o'代表对手棋子的位置, 'b'代表空格),  'positive'代表玩家赢, 'negative代表玩家负。整个问题可以看做是一个输入特征为9维的二分类问题。
样本数据digitdata2.txt文件中,×是1,o是-1,b是0,positive是1,negative是-1。1-250个是第一类,251-500个是第二类,利用前500个样本训练分类器,剩下458个样本做测试
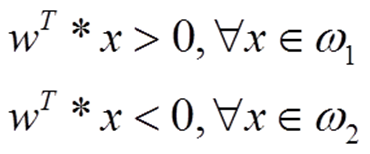
(1)权向量设为w,初始值随机生成,满足:用matlab兑现感知机学习算法,训练分类器并解决井字游戏 (2)代价函数为J(w):用matlab兑现感知机学习算法,训练分类器并解决井字游戏其中,δ是符号系数,x为第一类时δ是-1,x为第二类时δ是1,以保证代价函数为正。Y是分错类的样本的集合。 (3)利用梯度下降进行迭代:用matlab兑现感知机学习算法,训练分类器并解决井字游戏化简后是:用matlab兑现感知机学习算法,训练分类器并解决井字游戏其中ρ是每次下降的步长
(4)不断更新权向量w值,同时计算代价函数J(w),直到代价函数值为0,迭代结束。此时的权向量w即为所求。利用w和测试样本x相乘,结果为正属第一类,结果为负属第二类。由于随机初始化的权向量w不同,各次运行结果有所不同。 matlab代码如下: 

function ganzhiji()%利用感知机学习算法训练分类器解决tic tac toe游戏问题%样本数据digitdata2.txt文件中,×是1,o是-1,b是0,positive是1,negative是-1%样本数据顺序进行了调整,1-250个是第一类,251-500个是第二类%利用前500个样本训练分类器,剩下458个样本做测试%digitdata中,×是1,o是2,b是3,positive是1,negative是-1A = importdata('digitdata2.txt');%导入样本数据为一个958行10列的矩阵%A = importdata('digitdata.txt');%导入样本数据为一个958行10列的矩阵%A = importdata('littledata.txt');%少量数据,调试用% B保存剩下用来测试的样本for i = 501:958    B(i-500,:) = A(i,:);end%将矩阵A的第10列置为1,得到每个样本的增广向量for i = 1:958A(i,10) = 1;end%disp(A);%初始化一些参数w = rand(10,1);%初始权向量,10维列向量%disp(w);p = 1;%梯度下降的步长ox1 = -1;%符号系数,保证代价函数大于0ox2 = 1;s = 1;%迭代标志位n = 0;%迭代次数w1 = [0 0 0 0 0 0 0 0 0 0]';%10维列向量,临时权向量%disp(w1);%迭代过程while s    J = 0;%代价函数的初值    j = [0 0 0 0 0 0 0 0 0 0]';%用于每次迭代过程中临时累加下降量    %for i = 1:5    for i = 1:250  %第一类样本        if( A(i,:)*w >0 )%x属于第一类且w'x>0,分类正确            w1 = w;%权向量不变        else %分类错误            j = j + ox1 * A(i,:)';%累加下降量            J = J + ox1 * A(i,:) * w;%更新代价函数        end    end    %for i = 6:10    for i = 251:500 %第二类样本        if( A(i,:)*w <0 )%x属于第二类且w'x<0,分类正确            w1 = w;%权向量不变        else %分类错误            j = j + ox2 * A(i,:)';%累加下降量            J = J + ox2 * A(i,:) * w;%更新代价函数        end    end    if J==0 %代价函数为0,即没有错分的样本了        s = 0;%迭代终止        disp('迭代终止');    else         w1 = w - p*j;%得到新的权向量        p = p + 0.1;%增加步长        n = n + 1;        %disp(n);        %disp(J);    end    w = w1;%将临时权向量w1赋值给wend %while sdisp('迭代次数:');disp(n);%输出迭代次数disp('权向量:');w%输出权向量%迭代结束后,w即为所得最优分类面count = 0;%测试样本分类正确的个数for i = 501:958    if( A(i,:) * w >0 ) %第一类        B(i-500,11) = 1;        if( B(i-500,10) == 1 ) %分类正确            count = count + 1;        end    else  %第二类        B(i-500,11) = -1;        if( B(i-500,10) == -1 ) %分类正确            count = count + 1;        end    endend%disp(B);disp('正确率:');disp(count/458);%输出正确率end %function ganzhiji()

 matlab源文件及样本数据下载:http://download.csdn.net/detail/masikkk/4747593
 

热点排行