首页 诗词 字典 板报 句子 名言 友答 励志 学校 网站地图
当前位置: 首页 > 教程频道 > 开发语言 > 编程 >

高次幂取模的运用

2012-11-10 
高次幂取模的应用此题乃师兄[ TT_last ]原创题!Orz膜拜一下a simple problemProblem DescriptionAs we kno

高次幂取模的应用
此题乃师兄[ TT_last ]原创题!Orz膜拜一下

a simple problem
Problem Description
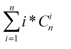
As we know , to caculate the sum ofis hard if the n is large,because today is Valentines Day,to make this problem more easy ,you only need to caculate the sum mod c

Input
There are multiply testcases. Each testcase, there is one line contains two integers n,c;(1<=n <= 10^1000000,1<=c <=1000000000

Output
For each testcase, output an integer, denotes the result of the sum mod c

Sample Input
2 4
3 5

Sample Output
0
2

Author
TT_last


计算这个的公式: n*2^(n-1)

高次取模降幂公式:

Phi是欧拉函数


 爽! 爽!

热点排行