非参数技术之Parzen 窗方法
对一个连续函数P(X),满足以下性质
(1)X在(a,b)之间的概率如下:

(2)对所有的实数X均满足
P(X)>=0
(3)且满足

扩展以上概念到向量X
(1)X在区域R上的积分为

(2)且满足

给定一组数量为N的样本,X1,X2,X3,...Xn,对新给定的X我们要估计P(X)的值,我们称这个叫做密度估计。
一个向量落在区域R中的概率为

假设区域R很窄,我们有

V称作区域R的“体积”

给定一组数量为N的样本,X1,X2,X3,...Xn,对新给定的X我们要估计P(X)的值,我们称这个叫做密度估计。
一个向量落在区域R中的概率为

假设区域R很窄,我们有

V称作区域R的“体积”。若R是二维的,则V是其宽度,三维的,为面积。
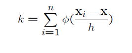
若样本X1,X2,...Xn都是独立的话,那么,假设有k个落在区域R内的话,我们有

进一步可推导出

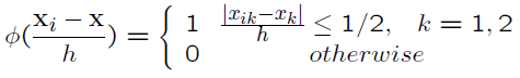
假设R是一个d维的超立方体,h代表超立方体的边长,如下图所示:

我们引入如下的窗函数

这个窗函数表示,Xi是否在以X为中心,边长为h的正方形中,我们得到

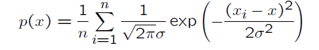
The Parzen probability density estimation formula (for 2-D) is given by


我们可以将窗体函数换成其他的形式,比如换成高斯分布:

这是在一维情况下的
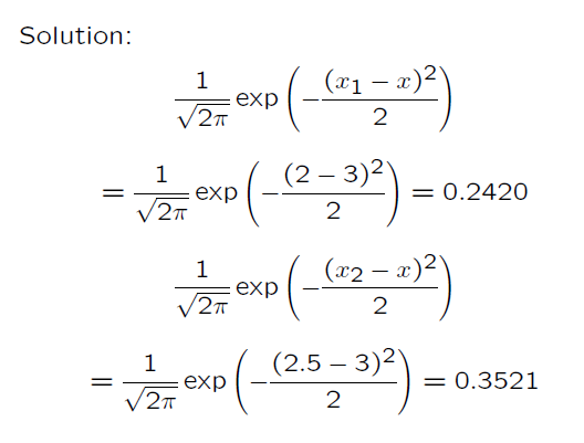
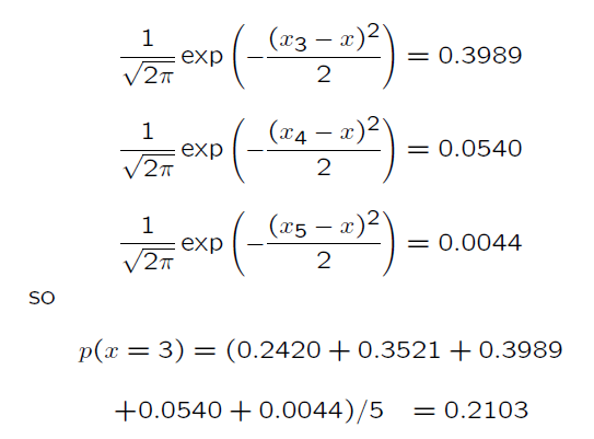
Example: Given a set of five data points x1 =2, x2 = 2.5, x3 = 3, x4 = 1 and x5 = 6, find Parzen probability density function (pdf) estimates at x = 3, using the Gaussian function with
= 1 as window function.


其含义如下图所示

虚线表示分别以x1,x2,x3,x4,x5为中心点的高斯分布,实线是这5个高斯分布叠加之后,在y除以5得到的效果。
最后我想说说关于窗体函数选择的问题:
因为p(x)要满足非负,以及要保证积分结果为1,通过计算可知,我们只要让窗体函数,满足下列性质即可:
(1)非负性
(2)在其定义域上的积分为1
另外,我们可以看出体积V,对p(x)的影响,当v比较小时,大都数的体积均为空,而且,每个邻居的贡献都很清楚,有较大的误差,但当V较大时,平滑效应会很严重,所以选择V成为Parzen窗体的一个限制性问题。