图论算法-求(有向)图中任意两点间所有路径
?
求(有向)图中任意两点间所有路径

?<!--[endif]-->
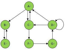
图1

?<!--[endif]-->
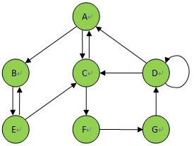
图2
?
2 算法思路
? A 将始点设置为已访问,将其入栈
??B 查看栈顶节点V在图中,有没有可以到达、且没有入栈、且没有从这个节点V出发访问过的节点
? C 如果有,则将找到的这个节点入栈
? D 如果没有,则将节点V访问到下一个节点的集合中每个元素赋值为零,V出栈
? E 当栈顶元素为终点时,设置终点没有被访问过,打印栈中元素,弹出栈顶节点
? F 重复执行B – E,直到栈中元素为空
?
?
package util;public class Graph {private Vertex vertexList[]; // list of verticesprivate int adjMat[][]; // adjacency matrixprivate int nVerts;private static int MAX_VERTS = 7; // n个点int i = 0;int j = 0;public Vertex[] getVertexList() {return vertexList;}public int[][] getAdjMat() {return adjMat;}public int getN() {return MAX_VERTS;}public Graph(int index) {adjMat = new int[MAX_VERTS][MAX_VERTS]; // 邻接矩阵vertexList = new Vertex[MAX_VERTS]; // 顶点数组nVerts = 0;for (i = 0; i < MAX_VERTS; i++) {for (j = 0; j < MAX_VERTS; j++) {adjMat[i][j] = 0;}}addVertex('A');addVertex('B');addVertex('C');addVertex('D');addVertex('E');addVertex('F');addVertex('G');addEdge(0, 1);addEdge(0, 2);addEdge(1, 4);addEdge(2, 0);addEdge(2, 5);addEdge(3, 0);addEdge(3, 2);addEdge(3, 3);addEdge(4, 1);addEdge(4, 2);addEdge(5, 6);addEdge(6, 3);switch (index) {case 0:break;case 1:delEdge(4, 2);break;default:break;}}private void delEdge(int start, int end) {adjMat[start][end] = 0;}private void addEdge(int start, int end) {// 有向图,添加边adjMat[start][end] = 1;// adjMat[end][start] = 1;}public void addVertex(char lab) {vertexList[nVerts++] = new Vertex(lab);// 添加点}public char displayVertex(int i) {return vertexList[i].getLabel();}public boolean displayVertexVisited(int i) {return vertexList[i].WasVisited();}public void printGraph() {for (i = 0; i < MAX_VERTS; i++) {System.out.print("第" + displayVertex(i) + "个节点:" + " ");for (j = 0; j < MAX_VERTS; j++) {System.out.print(displayVertex(i) + "-" + displayVertex(j)+ ":" + adjMat[i][j] + " ");}System.out.println();}}}?package util;
import java.util.ArrayList;public class Vertex {boolean wasVisited; // 是否遍历过public char label; // 节点名称ArrayList<Integer> allVisitedList;// 节点已访问过的顶点public void setAllVisitedList(ArrayList<Integer> allVisitedList) {this.allVisitedList = allVisitedList;}public ArrayList<Integer> getAllVisitedList() {return allVisitedList;}public boolean WasVisited() {return wasVisited;}public void setWasVisited(boolean wasVisited) {this.wasVisited = wasVisited;}public char getLabel() {return label;}public void setLabel(char label) {this.label = label;}public Vertex(char lab) // constructor{label = lab;wasVisited = false;}public void setVisited(int j) {allVisitedList.set(j, 1);}}?package util;
import java.util.ArrayList;import java.util.Stack;public class AF {boolean isAF = true;Graph graph;int n;int start, end;Stack<Integer> theStack;private ArrayList<Integer> tempList;private String counterexample;public AF(Graph graph, int start, int end) {this.graph = graph;this.start = start;this.end = end;}public boolean getResult() {graph.printGraph();n = graph.getN();theStack = new Stack<Integer>();if (!isConnectable(start, end)) {isAF = false;counterexample = "节点之间没有通路";} else {for (int j = 0; j < n; j++) {tempList = new ArrayList<Integer>();for (int i = 0; i < n; i++) {tempList.add(0);}graph.getVertexList()[j].setAllVisitedList(tempList);}isAF = af(start, end);}return isAF;}private boolean af(int start, int end) {graph.getVertexList()[start].setWasVisited(true); // mark ittheStack.push(start); // push itwhile (!theStack.isEmpty()) {int v = getAdjUnvisitedVertex(theStack.peek());if (v == -1) // if no such vertex,{tempList = new ArrayList<Integer>();for (int j = 0; j < n; j++) {tempList.add(0);}graph.getVertexList()[theStack.peek()].setAllVisitedList(tempList);// 把栈顶节点访问过的节点链表清空theStack.pop();} else // if it exists,{theStack.push(v); // push it}if (!theStack.isEmpty() && end == theStack.peek()) {graph.getVertexList()[end].setWasVisited(false); // mark itprintTheStack(theStack);System.out.println();theStack.pop();}}return isAF;}// 判断连个节点是否能连通private boolean isConnectable(int start, int end) {ArrayList<Integer> queue = new ArrayList<Integer>();ArrayList<Integer> visited = new ArrayList<Integer>();queue.add(start);while (!queue.isEmpty()) {for (int j = 0; j < n; j++) {if (graph.getAdjMat()[start][j] == 1 && !visited.contains(j)) {queue.add(j);}}if (queue.contains(end)) {return true;} else {visited.add(queue.get(0));queue.remove(0);if (!queue.isEmpty()) {start = queue.get(0);}}}return false;}public String counterexample() {for (Integer integer : theStack) {counterexample += graph.displayVertex(integer);if (integer != theStack.peek()) {counterexample += "-->";}}return counterexample;}// 与节点v相邻,并且这个节点没有被访问到,并且这个节点不在栈中public int getAdjUnvisitedVertex(int v) {ArrayList<Integer> arrayList = graph.getVertexList()[v].getAllVisitedList();for (int j = 0; j < n; j++) {if (graph.getAdjMat()[v][j] == 1 && arrayList.get(j) == 0&& !theStack.contains(j)) {graph.getVertexList()[v].setVisited(j);return j;}}return -1;} // end getAdjUnvisitedVertex()public void printTheStack(Stack<Integer> theStack2) {for (Integer integer : theStack2) {System.out.print(graph.displayVertex(integer));if (integer != theStack2.peek()) {System.out.print("-->");}}}}?import util.AF;
import util.Graph;public class Main {public static void main(String[] args) { //第几张图,有两张(0,1),起点序号(0-6),终点序号(0-6)AF operation = new AF(new Graph(0), 3, 6);operation.getResult();}}