java多线程施用
java多线程应用大家使用多线程无非是为了提高性能,但如果多线程使用不当,不但性能提升不明显,而且会使得资
java多线程应用
大家使用多线程无非是为了提高性能,但如果多线程使用不当,不但性能提升不明显,而且会使得资源消耗更大。下面列举一下可能会造成多线程性能问题的点:
死锁过多串行化过多锁竞争切换上下文内存同步
下面分别解析以上性能隐患
死锁
关于死锁,我们在学习操作系统的时候就知道它产生的原因和危害,这里就不从原理上去累述了,可以从下面的代码和图示重温一下死锁产生的原因:
?
- public?class?LeftRightDeadlock?{??
- ????private?final?Object?left?=?new?Object();??
- ????private?final?Object?right?=?new?Object();??
- ????public?void?leftRight()?{??
- ????????synchronized?(left)?{??
- ????????????synchronized?(right)?{??
- ????????????????doSomething();??
- ????????????}??
- ????????}??
- ????}??
- ????public?void?rightLeft()?{??
- ????????synchronized?(right)?{??
- ????????????synchronized?(left)?{??
- ????????????????doSomethingElse();??
- ????????????}??
- ????????}??
- ????}??
- }??
?

预防和处理死锁的方法:
1)尽量不要在释放锁之前竞争其他锁
一般可以通过细化同步方法来实现,只在真正需要保护共享资源的地方去拿锁,并尽快释放锁,这样可以有效降低在同步方法里调用其他同步方法的情况
2)顺序索取锁资源
如果实在无法避免嵌套索取锁资源,则需要制定一个索取锁资源的策略,先规划好有哪些锁,然后各个线程按照一个顺序去索取,不要出现上面那个例子中不同顺序,这样就会有潜在的死锁问题
3)尝试定时锁
Java 5提供了更灵活的锁工具,可以显式地索取和释放锁。那么在索取锁的时候可以设定一个超时时间,如果超过这个时间还没索取到锁,则不会继续堵塞而是放弃此次任务,示例代码如下:
?
- public?boolean?trySendOnSharedLine(String?message,??
- ???????????????????????????????????long?timeout,?TimeUnit?unit)??
- ???????????????????????????????????throws?InterruptedException?{??
- ????long?nanosToLock?=?unit.toNanos(timeout)??
- ?????????????????????-?estimatedNanosToSend(message);??
- ????if?(!lock.tryLock(nanosToLock,?NANOSECONDS))??
- ????????return?false;??
- ????try?{??
- ????????return?sendOnSharedLine(message);??
- ????}?finally?{??
- ????????lock.unlock();??
- ????}??
- }??
?
这样可以有效打破死锁条件。
4)检查死锁
JVM采用thread dump的方式来识别死锁的方式,可以通过操作系统的命令来向JVM发送thread dump的信号,这样可以查询哪些线程死锁。
过多串行化
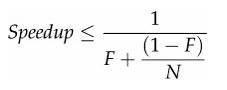
用多线程实际上就是想并行地做事情,但这些事情由于某些依赖性必须串行工作,导致很多环节得串行化,这实际上很局限系统的可扩展性,就算加CPU加线程,但性能却没有线性增长。有个Amdahl定理可以说明这个问题:

其中,F是串行化比例,N是处理器数量,由上可知,只有尽可能减少串行化,才能最大化地提高可扩展能力。降低串行化的关键就是降低锁竞争,当很多并行任务挂在锁的获取上,就是串行化的表现
过多锁竞争
过多锁竞争的危害是不言而喻的,那么看看有哪些办法来降低锁竞争
1)缩小锁的范围
前面也谈到这一点,尽量缩小锁保护的范围,快进快出,因此尽量不要直接在方法上使用synchronized关键字,而只是在真正需要线程安全保护的地方使用
2)减小锁的粒度
Java 5提供了显式锁后,可以更为灵活的来保护共享变量。synchronized关键字(用在方法上)是默认把整个对象作为锁,实际上很多时候没有必要用这么大一个锁,这会导致这个类所有synchronized都得串行执行。可以根据真正需要保护的共享变量作为锁,也可以使用更为精细的策略,目的就是要在真正需要串行的时候串行,举一个例子:
?
- public?class?StripedMap?{??
- ????//?Synchronization?policy:?buckets[n]?guarded?by?locks[n%N_LOCKS]??
- ????private?static?final?int?N_LOCKS?=?16;??
- ????private?final?Node[]?buckets;??
- ????private?final?Object[]?locks;??
- ????private?static?class?Node?{?...?}??
- ????public?StripedMap(int?numBuckets)?{??
- ????????buckets?=?new?Node[numBuckets];??
- ????????locks?=?new?Object[N_LOCKS];??
- ????????for?(int?i?=?0;?i?<?N_LOCKS;?i++)??
- ????????????locks[i]?=?new?Object();??
- ????}??
- ????private?final?int?hash(Object?key)?{??
- ????????return?Math.abs(key.hashCode()?%?buckets.length);??
- ????}??
- ????public?Object?get(Object?key)?{??
- ????????int?hash?=?hash(key);??
- ????????synchronized?(locks[hash?%?N_LOCKS])?{??
- ????????????for?(Node?m?=?buckets[hash];?m?!=?null;?m?=?m.next)??
- ????????????????if?(m.key.equals(key))??
- ????????????????????return?m.value;??
- ????????}??
- ????????return?null;??
- ????}??
- ????public?void?clear()?{??
- ????????for?(int?i?=?0;?i?<?buckets.length;?i++)?{??
- ????????????synchronized?(locks[i?%?N_LOCKS])?{??
- ????????????????buckets[i]?=?null;??
- ????????????}??
- ????????}??
- ????}??
- ????...??
- }??
?
上面这个例子是通过hash算法来把存取的值所对应的hash值来作为锁,这样就只需要对hash值相同的对象存取串行化,而不是像HashTable那样对任何对象任何操作都串行化。
3)减少共享资源的依赖
共享资源是竞争锁的源头,在多线程开发中尽量减少对共享资源的依赖,比如对象池的技术应该慎重考虑,新的JVM对新建对象以做了足够的优化,性能非常好,如果用对象池不但不能提高多少性能,反而会因为锁竞争导致降低线程的可并发性。
4)使用读写分离锁来替换独占锁
Java 5提供了一个读写分离锁(ReadWriteLock)来实现读-读并发,读-写串行,写-写串行的特性。这种方式更进一步提高了可并发性,因为有些场景大部分是读操作,因此没必要串行工作。关于ReadWriteLock的具体使用可以参加一下示例:
?
- public?class?ReadWriteMap<K,V>?{??
- ????private?final?Map<K,V>?map;??
- ????private?final?ReadWriteLock?lock?=?new?ReentrantReadWriteLock();??
- ????private?final?Lock?r?=?lock.readLock();??
- ????private?final?Lock?w?=?lock.writeLock();??
- ????public?ReadWriteMap(Map<K,V>?map)?{??
- ????????this.map?=?map;??
- ????}??
- ????public?V?put(K?key,?V?value)?{??
- ????????w.lock();??
- ????????try?{??
- ????????????return?map.put(key,?value);??
- ????????}?finally?{??
- ????????????w.unlock();??
- ????????}??
- ????}??
- ????//?Do?the?same?for?remove(),?putAll(),?clear()??
- ????public?V?get(Object?key)?{??
- ????????r.lock();??
- ????????try?{??
- ????????????return?map.get(key);??
- ????????}?finally?{??
- ????????????r.unlock();??
- ????????}??
- ????}??
- ????//?Do?the?same?for?other?read-only?Map?methods??
- }??
?
切换上下文
线程比较多的时候,操作系统切换线程上下文的性能消耗是不能忽略的,在构建高性能web之路------web服务器长连接?可以看出在进程切换上的代价,当然线程会更轻量一些,不过道理是类似的
内存同步
当使用到synchronized、volatile或Lock的时候,都会为了保证可见性导致更多的内存同步,这就无法享受到JMM结构带来了性能优化。
?