Trie树(单词查找树或键树)
Trie树
Trie树,又称单词查找树或键树,是一种树形结构,是一种哈希树的变种。典型应用是用于统计和排序大量的字符串(但不仅限于字符串),所以经常被搜索引擎系统用于文本词频统计。它的优点是:最大限度地减少无谓的字符串比较,查询效率比哈希表高。
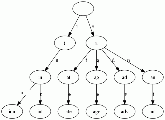
Trie是一颗存储多个字符串的树。相邻节点间的边代表一个字符,这样树的每条分支代表一则子串,而树的叶节点则代表完整的字符串。和普通树 不同的地方是,相同的字符串前缀共享同一条分支。还是例子最清楚。给出一组单词,inn, int, at, age, adv, ant, 我们可以得到下面的Trie:
tire树的查找时间复杂度为O(n)
实现代码(借鉴了某位博主的代码):
#include <iostream>using namespace std;const int branch = 10;//注意点:记得每次释放字典树,因为为多个用例typedef struct trie_Node{bool isword;struct trie_Node *next[branch];trie_Node() : isword(false){memset(next, NULL, sizeof(next));}}*pTrie_Node;class Trie{private:pTrie_Node root;public:Trie(){root = new trie_Node();}pTrie_Node getRoot(){return root;}void insert(const char *word);bool search(pTrie_Node cur);void destory(pTrie_Node cur);};void Trie::insert(const char *word){pTrie_Node loc = root;while(*word && loc){if(loc->next[*word - '0'] == NULL){pTrie_Node tmp = new trie_Node();loc->next[*word - '0'] = tmp;}loc = loc->next[*word - '0'];word++;}loc->isword = true;}bool Trie::search(pTrie_Node cur){int i;if(cur->isword)for(i = 0; i < branch; i++)if(cur->next[i] != NULL)return false;for(i = 0; i < branch; i++)if(cur->next[i] != NULL)if(!search(cur->next[i]))return false;return true;}void Trie::destory(pTrie_Node cur){for(int i = 0; i < branch; i++)if(cur->next[i] != NULL)destory(cur->next[i]);delete cur;}int main(){int t, n, i;char phone[11];cin>>t;while(t--){cin>>n;Trie t;for(i = 0; i < n; i++){cin>>phone;t.insert(phone);}if(!t.search(t.getRoot()))cout<<"NO"<<endl;elsecout<<"YES"<<endl;t.destory(t.getRoot()); //这句很重要,不然要超内存}return 0;}