Activiti学习资料10(xml格式的字符串发布流程)
Activiti发布
jbpm4的开发成员tom离开了jboss后,加入afresco公司,并且才有activiti5的项目,这开源项目继承了jbpm4的所有优点,同时将其发扬光大,相对jbpm4,activiti5改进了储多我们国内开发人员关心的问题,如:
activiti 5 底层上的api跟jbpm4的api相似程序也达60%以上,特别是service提供的接口,都是在jbpm4上提供扩展,大大方便了jbpm4的开发人员,这也是tom的先明之处,毕竟jbpm原来打的品牌效应不可否认的,把原来的jbpm4积累的人气再次带至activiti5上,这也将是该项目能够断续前进的重要保障。
尽管activiti5目前发展趋势前途光明,但其也有不足的地方,其前端的的表现总是存在不足,如在线流程设计器,目前eclipse插件生成的bpmn20.xml文件则不行,而官方提供的activiti-modler设计器,扩展及实现均面临困难,并且对浏览器的要求让它在国内的项目实施总会面临技术难度。
宏天estbpm3则又是一个基于activiti5的产品,并且公司也有打算断续原来的产品销售模式,对企业开放源代码,而原来的设计器通过改进后,则可以直接支持activiti5的流程设计的需要,如:
设计器按设计器生成一份文档格式,通过系统中提供的xslt转化文档,完成转化后,生成bpmn20的格式文档,该文档可被activiti5直接识别。

其设计器及转化效果如下所示:

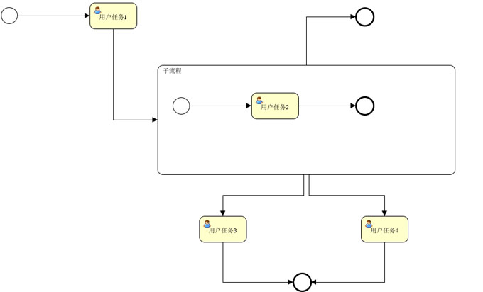
发布后,通过activiti5的api生成的流程图如下所示:

设计器原生成的文档格式:
Java代码
通过XSLT转化后的文档格式:
Java代码

转成后,则直接通过以下api可发布至流程引擎:
Deployment deployment= repositoryService.createDeployment().name(bpmDefinition.getSubject()).addString(bpmDefinition.getSubject()+".bpmn20.xml",actFlowDefXml).deploy();