首页 诗词 字典 板报 句子 名言 友答 励志 学校 网站地图
当前位置: 首页 > 教程频道 > 开发语言 > 编程 >

标题: 一个骰子,6面,1个面是 1, 2个面是2, 3个面是3, 问平均掷多少次能使1、2、3都至少出现一次

2012-09-29 
题目: 一个骰子,6面,1个面是 1, 2个面是2, 3个面是3, 问平均掷多少次能使1、2、3都至少出现一次。题目:一个骰

题目: 一个骰子,6面,1个面是 1, 2个面是2, 3个面是3, 问平均掷多少次能使1、2、3都至少出现一次。

题目:一个骰子,6面,1个面是 1, 2个面是2, 3个面是3,问平均掷多少次能使1、2、3都至少出现一次。

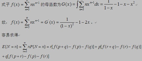
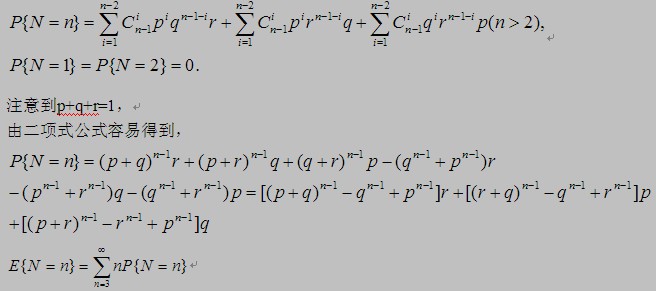
解:(没学过《组合数学》的请略过)

设P(N=n)表示第n次(n>2)抛出后1,2,3都出现的概率,问题要求n的期望E(N=n).掷1的概率p=1/6,掷2的概率q=1/3,掷3的概率r=1/2.

标题: 一个骰子,6面,1个面是 1, 2个面是2, 3个面是3, 问平均掷多少次能使1、2、3都至少出现一次

标题: 一个骰子,6面,1个面是 1, 2个面是2, 3个面是3, 问平均掷多少次能使1、2、3都至少出现一次

标题: 一个骰子,6面,1个面是 1, 2个面是2, 3个面是3, 问平均掷多少次能使1、2、3都至少出现一次

写程序求解标题: 一个骰子,6面,1个面是 1, 2个面是2, 3个面是3, 问平均掷多少次能使1、2、3都至少出现一次标题: 一个骰子,6面,1个面是 1, 2个面是2, 3个面是3, 问平均掷多少次能使1、2、3都至少出现一次

#include <iostream>标题: 一个骰子,6面,1个面是 1, 2个面是2, 3个面是3, 问平均掷多少次能使1、2、3都至少出现一次

using namespace std;float f(float x){   return (1/(1-x)/(1-x)-1-2*x);}int main(){   float p=1.0/6,q=1.0/3,r=1.0/2,e;   e=r*(f(p+q)-f(p)-f(q))+p*(f(q+r)-f(q)-f(r))+q*(f(p+r)-f(p)-f(r));   cout<<e<<endl;   return 0;}
在Visual Studio下的运行结果为:7.3

答案7.3


热点排行