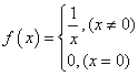
第二周 任务3 输入x计算并输出分段函数F(x)的值
/* * 程序头部注释开始 * 程序的版权和版本声明部分 * Copyright (c) 2011, 烟台大学计算机学院学生 * All rights reserved. * 文件名称:编写一个控制台应用--输入x计算并输出分段函数F(x)的值 * 作 者:薛广晨 * 完成日期:2011 年 09 月 05 日 * 版 本号:x1.0 * 对任务及求解方法的描述部分 * 输入描述: * 问题描述:编写一个控制台应用--输入x计算并输出分段函数F(x)的值* 程序输出: * 程序头部的注释结束 */using System;using System.Collections.Generic;using System.Linq;using System.Text;namespace calculate{ class Program { static void Main(string[] args) { double y; Console.WriteLine("请输入一个整数:"); double x = double.Parse(Console.ReadLine()); if ((int)x == 0) { Console.Write("f(x) = 0"); } else { y = 1 / x; String result = y.ToString("#0.0"); Console.Write("f(x) = {0}", result); } Console.ReadKey(false); } }}
