机器学习实战:单变量线性回归的实现一、算法实现由前面的理论,我们知道了用梯度下降解决线性回归的公式:梯
机器学习实战:单变量线性回归的实现
一、算法实现
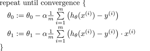
由前面的理论,我们知道了用梯度下降解决线性回归的公式:

梯度下降解决线性回归思路:



算法实现:
ComputeCost函数:
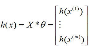
function J = computeCost(X, y, theta)m = length(y); % number of training examplesJ = 0;predictions = X * theta;J = 1/(2*m)*(predictions - y)'*(predictions - y);end
gradientDescent函数:
function [theta, J_history] = gradientDescent(X, y, theta, alpha, num_iters)% X is m*(n+1) matrix % y is m*1% theta is (n+1)*1 matrix% alpha is a number % num_iters is number of iteratorsm = length(y); % number of training examplesJ_history = zeros(num_iters, 1); %cost function的值的变化过程%预先定义了迭代的次数for iter = 1:num_iterstemp1 = theta(1) - (alpha / m) * sum((X * theta - y).* X(:,1));temp2 = theta(2) - (alpha / m) * sum((X * theta - y).* X(:,2));theta(1) = temp1;theta(2) = temp2;J_history(iter) = computeCost(X, y, theta);endend
二、数据可视化我们通过算法实现能够求出函数h(x),但是我们还需要将数据可视化:(1)画出训练集的散点图+拟合后的直线;(2)画出J(theta)为z轴,theta0为x轴,theta1为y轴的三维曲线;(3)画出(2)的三维曲线的等高线图;
1.画散点图+拟合的直线描述:给定ex1data1.txt,文件中有两列数据,每一列代表一个维度,第一列代表X,第二列代表Y,用Octave画出散布图(Scalar Plot),数据的形式如下:
6.1101,17.592
5.5277,9.1302
8.5186,13.662
7.0032,11.854
5.8598,6.8233
8.3829,11.886
........
答:(1)data = load('ex1data1.txt'); %导入该文件,并赋予data变量(2)X = data( : , 1 );Y = data( : , 2); %将两列分别赋予X和Y(3)X = [ones(size(X,1),1),X]; %在X的左边添加一列1(4)plot(X,Y,'rx','MarkerSize', 4); %画图,将X向量作为X轴,Y向量作为Y轴,每个点用“x”表示,‘r’表示红点,每个点的大小为4;(5)axis([4 24 -5 25]); %调整x和y轴的起始坐标和最高坐标;(6)xlabel('x'); %给x轴标号为‘x’;(7)ylabel('y'); %给y轴标号为‘y’;
最后见下图:

经过计算,算出theta值:[theta,J_history] = gradientDescent(X, y, theta, alpha, num_iters);即可通过:plot(X(:,2), X*theta); %画出最后拟合的直线

以上呈现了线性回归的结果;
以下两种都是可视化J(theta);
2.Surface Plot描述:数据如上一题一样,我们想要绘制出对于这些数据的cost function,我们将绘制出三维图形和contour plot;
我们如果要绘制cost function,我们必须预先写好cost function的公式:function J = computeCost(X, y, theta) m = length(y); J = 0; predictions = X * theta; J = 1/(2*m)*sum((predictions - y) .^ 2);end
实现:(1)theta0_vals = linspace(-10, 10, 100); %从-10到10之间取100个数组成一个向量(2)theta1_vals = linspace(-1, 4, 100); %从-1到4之间取100个数组成一个向量(3)J_vals = zeros(length(theta0_vals), length(theta1_vals)); %初始化J_vals矩阵,对于某个theta0和theta1,J_vals都有对应的cost function值;(4)计算每个(theta0,theta1)所对应的J_vals;for i = 1:length(theta0_vals) for j = 1:length(theta1_vals) t = [theta0_vals(i); theta1_vals(j)]; J_vals(i,j) = computeCost(X, y, t); endend(5)figure; %创建一个图(6)surf(theta0_vals,theta1_vals,J_vals); %x轴为theta0_vals,y轴为theta1_vals,z轴为J_vals;(7)xlabel('\theta_0'); %添加x轴标志(8)ylabel('\theta_1'); %添加y轴标志

此图而且可以转动;
2.Contour Plot
实现:(1)theta0_vals = linspace(-10, 10, 100); %从-10到10之间取100个数组成一个向量(2)theta1_vals = linspace(-1, 4, 100); %从-1到4之间取100个数组成一个向量(3)J_vals = zeros(length(theta0_vals), length(theta1_vals)); %初始化J_vals矩阵,对于某个theta0和theta1,J_vals都有对应的cost function值;(4)计算每个(theta0,theta1)所对应的J_vals;for i = 1:length(theta0_vals) for j = 1:length(theta1_vals) t = [theta0_vals(i); theta1_vals(j)]; J_vals(i,j) = computeCost(X, y, t); endend(5)figure; %创建一个图(6)contour(theta0_vals, theta1_vals, J_vals, logspace(-2, 3, 20)); %画等高线图(7)xlabel('\theta_0'); ylabel('\theta_1');

如果我们想要在等高线图上画出线性回归的theta0与theta1的结果,则可以:plot(theta(1), theta(2), 'rx', 'MarkerSize', 10, 'LineWidth', 2);

4.画图查看Learning Rate是否合理
我们在gradientDescent函数中返回的值里有J_history向量,此向量记录了每次迭代后cost function的值,因此我们只需要将x轴为迭代的次数,y轴为cost function的值,即可画图:
(1)[theta,J_history] = gradientDescent(X, y, theta, alpha, num_iters);(2)figure; (3)plot(1:length(J_history), J_history, '-b', 'LineWidth', 2); (4)xlabel('Number of iterations');(5)ylabel('Cost J');

当然,我们也可以将不同的alpha值都画在一张图上,可以比较取各个alpha时,cost function的变化趋势; (1)alpha=0.01;(2)[theta,J1] = gradientDescent(X, y, zeros(3,1), alpha, num_iters);(3)alpha=0.03;(4)[theta,J2] = gradientDescent(X, y, zeros(3,1), alpha, num_iters);(5)alpha=0.1;(6)[theta,J3] = gradientDescent(X, y, zeros(3,1), alpha, num_iters);(7)plot(1:numel(J1), J1, '-b', 'LineWidth', 2);(8)plot(1:numel(J2), J2, '-r', 'LineWidth', 2);(9)plot(1:numel(J3), J3, '-k', 'LineWidth', 2);