数据结构-----二叉搜索树
二叉搜索树是一种搜索树,通常的二分搜素算法有很好的搜索性能但是一般在顺序表上进行,插入和删除元素比较费时。而通过采用树型结构,能够有效的支持插入和删除,同时保证查找的效率。(很多内容摘自数据结构---陈慧南编写的书上)
一,二叉搜索树
1)二叉搜索树的定义
假定所有结点的关键字值各不相同,二叉搜索树或者是一个空二叉树,或者是具有下列性质的二叉树:
若左子树不空,则左子树上的所有结点的关键字值小于根节点的关键字值;若右子树不空,则右子树上所有节点的关键字值均大于根结点的关键字值;左右子树也分别是二叉搜索树。2)二叉搜索树的性质
若以中序遍历一个二叉搜索树,将得到一个以关键字递增排列的有序序列
3)存储结构
采用通用的存储结构----链式存储
二、二叉树搜索树的操作
1)二叉搜索树的搜索
如果为空则搜索失败;负责,与根结点关键字值比较,若小于该结点的值,则以同样的方法搜索左子树。若比根结点的关键字值大,则以同样的方法搜索右子树。若等于根结点的关键字值则搜索成功。
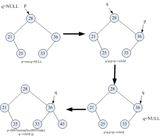
2)二叉树的插入
在二叉树上的插入操作首先要搜索插入的位置,即找到新插入位置的双亲结点。故从根节点开始自上向下搜索,记录当前结点的父节点。故通常需要一个临时的指针,来记录当前结点的双亲结点记为q,当前结点为p,这样通过迭代的方法,当p指向空的是时候,即找到要插入的位置。若要插入的值大于q指向值,插在q的右子树,否则插在左子树。通过下图来形象的演示插入的过程。

3)二叉树的删除
与插入操作类似,应先搜索被删除结点p,并记录父结点q,如果不存在操作失败。删除结点的操作由以下几点构成:
若结点p有两个非空子树,需搜索结点p的中序遍历直接后继结点,设为s,将s值复制到p中,因为s最多有一棵非空子树,这样问题转化为“被删除结点最多只有一个非空子树”下图形象表现删除两个孩子结点的节点

三、程序的实现