走台阶问题(转)
一个楼梯有50个台阶,每一步可以走一个台阶,也可以走两个台阶,请问走完这个楼梯共有多少种方法?
举个例子,假设有3个台阶,则有三种走法:分别是,1-1-1, 1-2, 2-1。
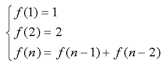
分析很简单的一道题,学过组合数学的人很快就能想到,这是一个递推关系。假设走完k个台阶有f(k)种走法。
k = 1时,f(k) = 1k = 2时,f(k) = 2k = n时,第一步走一个台阶,剩n-1个台阶,有f(n - 1)种走法。第一步走两个台阶,剩n-2个台阶,有f(n - 2)种走法。所以共有f(n - 1) + f(n - 2)种走法。于是有如下公式


分析一下,假设铺完长度为n的地面有f(n)种方法,如果第一块地砖竖起来铺,还剩下长度为n-1的地面,有f(n-1)种方法。如下图。

如果第一块地转横着铺,那么还剩下长度为n-2的地面,有f(n-2)种铺法。如下图。

所以这道题与上面的题解法完全一样。不同的题目,相同的模型而已。
自然数拆分给定一个自然数n,将其拆分为若干个自然数字之和,请问有多少种方法?举个例子,n=4时,可以拆分为1-1-1-1,1-1-2,1-3,2-2。
这题和上面的题很像,不过上面的问题是排列问题,而这题是组合问题,比如n=4时,1-1-2,1-2-1,2-1-1这三种只能算一个拆分。在上面的基础上,去掉重复的组合即可。
?
?
作者:zdd出处:http://www.cnblogs.com/graphics/