如何选择到最好女孩
假设你是一位男孩,而上天在你20-30岁间安排了20位适合你的女孩。这些女孩都愿意作为你的伴侣,但你只能选择他们其中一个。选择的条件如下:
假设上天是完全随机安排各个时间段出现的女孩,即出现的时间先后和女孩的质量完全没有关系。那么,你应该在什么时候决定接受一位女孩,并使得被接受的那位女孩属于最好女孩的可能性最大呢?
策略1:事先抽签,抽到第几个就第几个。比如,抽到第10位,那么第10个在你生命中出现的女孩就事前被确定为你的伴侣。而她刚好是最好的女孩之概率是多少呢?答案是1/20=0.05。这种策略使你有5%的可能性获得最好的女孩。这样的概率显然太小
我们有没有比较好的策略以更大的概率找到最好的女孩呢
策略2:取某个中间点n,如果在这个中间点之前无论女孩怎么样都不会考虑,到第n个时就会正式考虑了,如果当前女孩比以前的都好,那么就选为终生伴侣,否则放弃,从下一个继续选。这也比较符合我们日常的做法。那么这个中间点n该怎么确定才能是概率最大,我们接下来分析一下
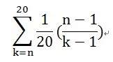
假设第K个女孩是最好的,概率为1/20,当我们从n开始正式考虑时要想找到最好的女孩,需要k>n,也就是说最好的女孩在第n个之后。这样还不能保证一定能找到最好的女孩,因为我们的策略是从n开始,如果当前的比以前所有的都好,就会选择。所以要想在n之后k之前的都不选,那么需要在k之前最好的女孩出现在n之前,这样就不会选择从n到k-1之间的任何女孩。这样的话第k个女孩是最好的女孩并且k之前最好的女孩出现在n之前的概率为 1/20*(n-1)/(k-1) ,其中k的取值为[n,20],所以从n开始正式考虑能找到最好女孩的概率为: 
用C++编程求出n从1到20的概率
从结果中可以看出,从第八个开始考虑时概率最大,为38.42%接下来我从统计的角度验证一下上述结果,c++源代码如下:
结果显示,从第八个开始考虑,概率最大,为38.42%,和上面理论论述的结果是一样的PS:由于随机函数并不是真正的随机,得到的结果和理论结果稍有误差