首页 诗词 字典 板报 句子 名言 友答 励志 学校 网站地图
当前位置: 首页 > 教程频道 > 其他教程 > 开源软件 >

mahout 逻辑回归算法胪陈

2012-08-14 
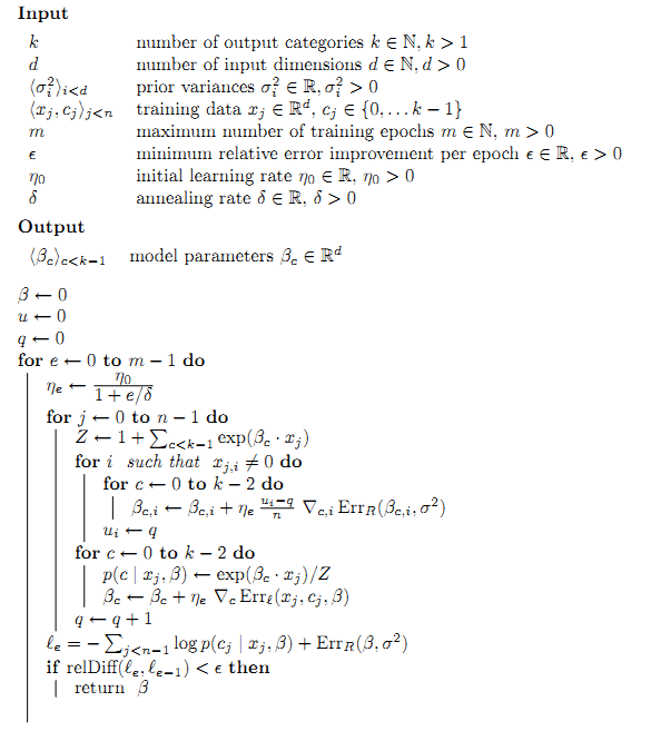
mahout 逻辑回归算法详述mahout自带了逻辑回归算法,SGD 随机梯度下降,https://cwiki.apache.org/MAHOUT/lo

mahout 逻辑回归算法详述

mahout自带了逻辑回归算法,SGD 随机梯度下降,https://cwiki.apache.org/MAHOUT/logistic-regression.html
mahout官方wiki其实对算法做的介绍其实不清不楚,笔者辛苦了周把的时间终于“破解”了此算法,share给大家了。

mahout 逻辑回归算法胪陈

mahout 逻辑回归算法胪陈

热点排行