解读IEEE标准754:浮点数表示
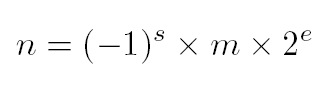
N的实际值n由下列式子表示:

其中:
★ n,s,e,m分别为N,S,E,M对应的实际数值,而N,S,E,M仅仅是一串二进制位。
★ S(sign)表示N的符号位。对应值s满足:n>0时,s=0; n<0时,s=1。
★ E(exponent)表示N的指数位,位于S和M之间的若干位。对应值e值也可正可负。
★ M(mantissa)表示N的尾数位,恰好,它位于N末尾。M也叫有效数字位(sinificand)、系数位(coefficient), 甚至被称作“小数”。
三、浮点数格式
IEEE标准754规定了三种浮点数格式:单精度、双精度、扩展精度。前两者正好对应C语言里头的float、double或者FORTRAN里头的real、double精度类型。限于篇幅,本文仅介绍单精度、双精度浮点格式。
★ 单精度:N共32位,其中S占1位,E占8位,M占23位。

★ 双精度:N共64位,其中S占1位,E占11位,M占52位。

值得注意的是,M虽然是23位或者52位,但它们只是表示小数点之后的二进制位数,也就是说,假定 M为“010110011...”, 在二进制数值上其实是“.010110011...”。而事实上,标准规定小数点左边还有一个隐含位,这个隐含位通常,哦不,应该说绝大多数情况下是1,那什么情况下是0呢?答案是N对应的n非常小的时候,比如小于 2^(-126)(32位单精度浮点数)。不要困惑怎么计算出来的,看到后面你就会明白。总之,隐含位算是赚来了一位精度,于是M对应的m最后结果可能是"m=1.010110011...”或者“m=0.010110011...”
四、计算e、m
首先将提到令初学者头疼的“规格化(normalized)”、“非规格化(denormalized)”。噢,其实并没有这么难的,跟我来!掌握它以后你会发现一切都很优雅,更美妙的是,规格化、非规格化本身的概念几乎不怎么重要。请牢记这句话:规格化与否全看指数E!
下面分三种情况讨论E,并分别计算e和m:
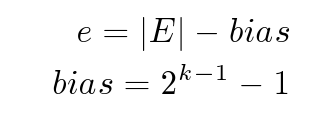
1、规格化:当E的二进制位不全为0,也不全为1时,N为规格化形式。此时e被解释为表示偏置(biased)形式的整数,e值计算公式如下图所示:

上图中,|E|表示E的二进制序列表示的整数值,例如E为"10000100",则|E|=132,e=132-127=5 。 k则表示E的位数,对单精度来说,k=8,则bias=127,对双精度来说,k=11,则bias=1023。
此时m的计算公式如下图所示:

标准规定此时小数点左侧的隐含位为1,那么m=|1.M|。如M="101",则|1.M|=|1.101|=1.625,即 m=1.625
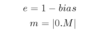
2、非规格化:当E的二进制位全部为0时,N为非规格化形式。此时e,m的计算都非常简单。

注意,此时小数点左侧的隐含位为0。 为什么e会等于(1-bias)而不是(-bias),这主要是为规格化数值、非规格化数值之间的平滑过渡设计的。后文我们还会继续讨论。
有了非规格化形式,我们就可以表示0了。把符号位S值1,其余所有位均置0后,我们得到了 -0.0; 同理,把所有位均置0,则得到 +0.0。非规格化数还有其他用途,比如表示非常接近0的小数,而且这些小数均匀地接近0,称为“逐渐下溢(gradually underflow)”属性。
3、特殊数值: 当E的二进制位全为1时为特殊数值。此时,若M的二进制位全为0,则n表示无穷大,若S为1则为负无穷大,若S为0则为正无穷大; 若M的二进制位不全为0时,表示NaN(Not a Number),表示这不是一个合法实数或无穷,或者该数未经初始化。
五、范例
仔细研读第四点后,再回忆一下文章开头计算n的公式,你应该写出一个浮点编码的实际值n了吧? 还不能吗?不急,我先给你示范一下。我们假定N是一个8位浮点数,其中,S占1位,E占4位,M占3位。下面这张表罗列了N可能的正数形式,也包含了e、m等值,请你对照着这张表,重温一下第四点,你会慢慢明白的。说实在的,这张表花了我不少功夫呢,幸好TeX画表格还算省事!

这张表里头有很多有趣的地方,我提醒一下:
★ 看 N 列,从上到下,二进制位表示是均匀递增的,且增量都是一个最小二进制位。这不是偶然,正是巧妙设计的结果。观察最大的非规格数,发现恰好就是M全为1, E全为0的情况。于是我们求出最大的非规格数为:

上面的公式中,h为M的位数(如范例中为3)。注意,公式等号右边的第一项同时又是最小规格数的值(如范例中为 8/512 );第二项则正是最小非规格数的值(如范例中为1/512)即该浮点数能表示的最小正数。
★ 看 m 列,规格化数都是 1+ x 的形式,这个1正是隐含位1; 而非规格化数隐含位为0, 所以没有 "1+" 。
★ 看 n 列,非规格化数从上到下的增量都是 1/512, 且过渡到规格化数时,增量是平滑的,依旧是1/512。这正是非规格化数中e等于(1-bias)而不是(-bias)的缘故,也是巧妙设计的结果。 再继续往下看,发现增量值逐渐增大。可见,浮点数的取值范围不是均匀的。
六、实战
我们用一小段汇编来测试一下,浮点数在内存中是如何表示的。测试环境: GentooLinux2006.0/GNU assembler version 2.16.1/GNU gdb 6.4/AMD XP1600+。 如下所示
~/coding/assemble $ gdb floatGNU gdb 6.4Copyright 2005 Free Software Foundation, Inc.GDB is free software, covered by the GNU General Public License, and you arewelcome to change it and/or distribute copies of it under certain conditions.Type "show copying" to see the conditions.There is absolutely no warranty for GDB. Type "show warranty" for details.This GDB was configured as "i686-pc-linux-gnu"...Using host libthread_db library "/lib/libthread_db.so.1".(gdb) list1.section .data2f1:3 .float 54f2:5 .float 0.1 6.section .text7 .global _start8_start:9 nop10(gdb) x/f &f10x80490a4 <f1>:5(gdb) x/xw &f10x80490a4 <f1>:0x40a00000(gdb) x/f &f20x80490a8 <f2>:0.100000001(gdb) x/xw &f20x80490a8 <f2>:0x3dcccccd(gdb)
从上面的gdb命令结果可以看出,浮点数5被表示为 0x40a00000,二进制形式为( 0100 0000 1010 0000 ... 0000 0000)。红色数字为E,可以看出|E|=129>0, 则e=129-bias=129-127=2 ; 蓝色数字为M, 且|E|>0,说明是规格化数,则m=|1.M|=|1.01000..000|=1.25 ; 由n的计算公式可以求得 n=(-1)^0 * 1.25 * 2^2 = 5, 结果被验证了。
同样,你也可以验证一下十进制浮点数0.1的二进制形式是否正确,你会发现,0.1不能表示为有限个二进制位,因此在内存中的表示是舍入(rounding)以后的结果,即 0x3dcccccd, 十进制为0.100000001, 误差0.000000001由此产生了。
七、未完成
关于浮点数,还有很多东西(比如舍入误差、除零异常等等)值得我们深入探讨,但已经无法在此继续。这篇文章的目的仅在初步解释IEEE标准754对浮点数的规定以及一些奇妙的地方。写这篇文章花掉了我整天的时间,但也使我彻底记住了以前让我胆怯的东西──最重要的是,希望这篇文章对大家有点用处,也算我为计算机科学基础理论版以及Linuxsir.org做的一点贡献。
参考书目:
①: Randall Hyde, The Art of Assembly Language, Vol.1, 4.2.1
②: Randal E. Bryant, David R. O’Hallaron, Computer Systems A Programmer’s Perspective (Beta Draft), PartⅠ, Chapt.Ⅱ, 2.4
③: Rechard Blum, Professional Assembly Language
如须转载请注明作者为Lolita@linuxsir.org,并请保持文章的完整和提供转载出处。