首页 诗词 字典 板报 句子 名言 友答 励志 学校 网站地图
当前位置: 首页 > 教程频道 > 开发语言 > 编程 >

排序算法拾掇之堆排序

2012-07-23 
排序算法整理之堆排序堆排序(Heapsort)是指利用堆这种数据结构所设计的一种排序算法。堆是一个近完全二叉树

排序算法整理之堆排序

堆排序(Heapsort)是指利用堆这种数据结构所设计的一种排序算法。堆是一个近似完全二叉树的结构,并同时满足堆性质:即子结点的键值或索引总是小于(或者大于)它的父节点。

排序算法拾掇之堆排序

堆排序的过程是:

1.        建立一个堆

2.        把堆首(最大值)和堆尾互换

3.        把堆的尺寸缩小1,目的是把新的数组顶端数据调整到相应位置

4.        重复步骤2,直到堆的尺寸为1

 

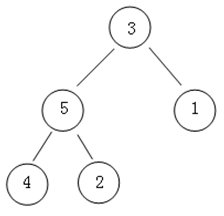
要知道构建堆,就必须了解二叉树的模型。如图:

排序算法拾掇之堆排序

构建大根堆步骤,如图:

排序算法拾掇之堆排序

第一步:首先我们发现,这个堆中有2个父节点(2,,3);

第二步:比较2这个父节点的两个孩子(4,5),发现5大。

第三步:然后将较大的右孩子(5)跟父节点(2)进行交换,至此3的左孩子堆构建完毕,

如图:

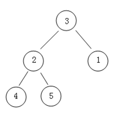
排序算法拾掇之堆排序

第四步:比较第二个父节点(3)下面的左右孩子(5,1),发现左孩子5大。

第五步:然后父节点(3)与左孩子(5)进行交换,注意,交换后,堆可能会遭到破坏,

必须按照以上的步骤一,步骤二,步骤三进行重新构造堆。

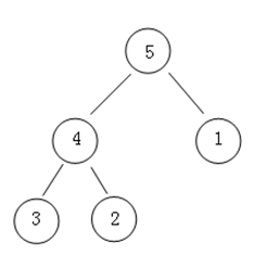
最后构造的堆如下:

排序算法拾掇之堆排序

第二:输出大根堆。

至此,我们把大根堆构造出来了,那怎么输出呢?我们做大根堆的目的就是要找出最大值,

那么我们将堆顶(5)与堆尾(2)进行交换,然后将(5)剔除根堆,由于堆顶现在是(2),

所以破坏了根堆,必须重新构造,构造完之后又会出现最大值,再次交换和剔除,最后也就是俺们

实现代码:


 

运行结果:

排序前:[2, 5, 1, 8, 9, 3]

排序后:[1, 2, 3, 5, 8, 9]

热点排行