初次接触Linux之Linux的启动过程
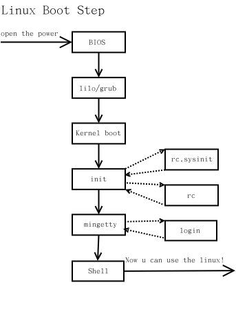
当用户打开PC的电源,BIOS开机自检,按BIOS中设置的启动设备(通常是硬盘)启动,接着启动设备上安装的引导程序lilo或grub开始引导Linux,Linux首先进行内核的引导,接下来执行init程序,init程序调用了rc.sysinit和rc等程序,rc.sysinit和rc当完成系统初始化和运行服务的任务后,返回init;init启动了mingetty后,打开了终端供用户登录系统,用户登录成功后进入了Shell,这样就完成了从开机到登录的整个启动过程。

下面就将逐一介绍其中几个关键的部分:
第一部分:内核的引导(核内引导)
Red Hat9.0可以使用lilo或grub等引导程序开始引导Linux系统,当引导程序成功完成引导任务后,Linux从它们手中接管了CPU的控制权,然后CPU就开始执行Linux的核心映象代码,开始了Linux启动过程。这里使用了几个汇编程序来引导Linux,这一步泛及到Linux源代码树中的“arch/i386/boot”下的这几个文件:bootsect.S、setup.S、video.S等。
其中bootsect.S是生成引导扇区的汇编源码,它完成加载动作后直接跳转到setup.S的程序入口。setup.S的主要功能就是将系统参数(包括内存、磁盘等,由BIOS返回)拷贝到特别内存中,以便以后这些参数被保护模式下的代码来读取。此外,setup.S还将video.S中的代码包含进来,检测和设置显示器和显示模式。最后,setup.S将系统转换到保护模式,并跳转到 0x100000。
那么0x100000这个内存地址中存放的是什么代码?而这些代码又是从何而来的呢?
0x100000这个内存地址存放的是解压后的内核,因为Red Hat提供的内核包含了众多驱动和功能而显得比较大,所以在内核编译中使用了“makebzImage”方式,从而生成压缩过的内核,在RedHat中内核常常被命名为vmlinuz,在Linux的最初引导过程中,是通过"arch/i386/boot/compressed/"中的head.S利用misc.c中定义的decompress_kernel()函数,将内核vmlinuz解压到0x100000的。
当CPU跳到0x100000时,将执行"arch/i386/kernel/head.S"中的startup_32,它也是vmlinux的入口,然后就跳转到start_kernel()中去了。start_kernel()是"init/main.c"中的定义的函数,start_kernel()中调用了一系列初始化函数,以完成kernel本身的设置。start_kernel()函数中,做了大量的工作来建立基本的Linux核心环境。如果顺利执行完start_kernel(),则基本的Linux核心环境已经建立起来了。
在start_kernel()的最后,通过调用init()函数,系统创建第一个核心线程,启动了init过程。而核心线程init()主要是来进行一些外设初始化的工作的,包括调用do_basic_setup()完成外设及其驱动程序的加载和初始化。并完成文件系统初始化和root文件系统的安装。
当do_basic_setup()函数返回init(),init()又打开了/dev/console设备,重定向三个标准的输入输出文件stdin、stdout和stderr到控制台,最后,搜索文件系统中的init程序(或者由init=命令行参数指定的程序),并使用 execve()系统调用加载执行init程序。到此init()函数结束,内核的引导部分也到此结束了,
?
第二部分:运行init
init的进程号是1,从这一点就能看出,init进程是系统所有进程的起点,Linux在完成核内引导以后,就开始运行init程序,。init程序需要读取配置文件/etc/inittab。inittab是一个不可执行的文本文件,它有若干行指令所组成。在Redhat系统中,inittab的内容如下所示(以“###"开始的中注释为笔者增加的):
#
# inittab?????? This file describes how the INIT process should set up
#?????????????? the system in a certain run-level.
#
# Author:?????? Miquel van Smoorenburg, <miquels@drinkel.nl.mugnet.org>
#?????????????? Modified for RHS Linux by Marc Ewing and Donnie Barnes
#
# Default runlevel. The runlevels used by RHS are:
#?? 0 - halt (Do NOT set initdefault to this)
#?? 1 - Single user mode
#?? 2 - Multiuser, without NFS (The same as 3, if you do not havenetworking)
#?? 3 - Full multiuser mode
#?? 4 - unused
#?? 5 - X11
#?? 6 - reboot (Do NOT set initdefault to this)
#
###表示当前缺省运行级别为5(initdefault);
id:5:initdefault:
###启动时自动执行/etc/rc.d/rc.sysinit脚本(sysinit)
# System initialization.
si::sysinit:/etc/rc.d/rc.sysinit
l0:0:wait:/etc/rc.d/rc 0
l1:1:wait:/etc/rc.d/rc 1
l2:2:wait:/etc/rc.d/rc 2
l3:3:wait:/etc/rc.d/rc 3
l4:4:wait:/etc/rc.d/rc 4
###当运行级别为5时,以5为参数运行/etc/rc.d/rc脚本,init将等待其返回(wait)
l5:5:wait:/etc/rc.d/rc 5
l6:6:wait:/etc/rc.d/rc 6
###在启动过程中允许按CTRL-ALT-DELETE重启系统
# Trap CTRL-ALT-DELETE
ca::ctrlaltdel:/sbin/shutdown -t3 -r now
# When our UPS tells us power has failed, assume we have a few minutes
# of power left.? Schedule a shutdown for 2 minutes from now.
# This does, of course, assume you have powerd installed and your
# UPS connected and working correctly.
pf::powerfail:/sbin/shutdown -f -h +2 "Power Failure; System Shutting Down"
# If power was restored before the shutdown kicked in, cancel it.
pr:12345:powerokwait:/sbin/shutdown -c "Power Restored; Shutdown Cancelled"
###在2、3、4、5级别上以ttyX为参数执行/sbin/mingetty程序,打开ttyX终端用于用户登录,
###如果进程退出则再次运行mingetty程序(respawn)
# Run gettys in standard runlevels
1:2345:respawn:/sbin/mingetty tty1
2:2345:respawn:/sbin/mingetty tty2
3:2345:respawn:/sbin/mingetty tty3
4:2345:respawn:/sbin/mingetty tty4
5:2345:respawn:/sbin/mingetty tty5
6:2345:respawn:/sbin/mingetty tty6
###在5级别上运行xdm程序,提供xdm图形方式登录界面,并在退出时重新执行(respawn)
# Run xdm in runlevel 5
x:5:respawn:/etc/X11/prefdm -nodaemon
?
以上面的inittab文件为例,来说明一下inittab的格式。其中以#开始的行是注释行,除了注释行之外,每一行都有以下格式:
id:runlevel:action:process
对上面各项的详细解释如下:
1. id
id是指入口标识符,它是一个字符串,对于getty或mingetty等其他login程序项,要求id与tty的编号相同,否则getty程序将不能正常工作。
2. runlevel
runlevel是init所处于的运行级别的标识,一般使用0-6以及S或s。0、1、6运行级别被系统保留:其中0作为shutdown动作,1作为重启至单用户模式,6为重启;S和s意义相同,表示单用户模式,且无需inittab文件,因此也不在inittab中出现,实际上,进入单用户模式时,init直接在控制台(/dev/console)上运行/sbin/sulogin。在一般的系统实现中,都使用了2、3、4、5几个级别,在Redhat系统中,2表示无NFS支持的多用户模式,3表示完全多用户模式(也是最常用的级别),4保留给用户自定义,5表示XDM图形登录方式。7-9级别也是可以使用的,传统的Unix系统没有定义这几个级别。runlevel可以是并列的多个值,以匹配多个运行级别,对大多数action来说,仅当runlevel与当前运行级别匹配成功才会执行。
3. action
action是描述其后的process的运行方式的。action可取的值包括:initdefault、sysinit、boot、bootwait等:
initdefault是一个特殊的action值,用于标识缺省的启动级别;当init由核心激活以后,它将读取inittab中的initdefault项,取得其中的runlevel,并作为当前的运行级别。如果没有inittab文件,或者其中没有initdefault项,init将在控制台上请求输入runlevel。
sysinit、boot、bootwait等action将在系统启动时无条件运行,而忽略其中的runlevel。
其余的action(不含initdefault)都与某个runlevel相关。各个action的定义在inittab的man手册中有详细的描述。
4. process
process为具体的执行程序。程序后面可以带参数。
第三部分:系统初始化
在init的配置文件中有这么一行:
si::sysinit:/etc/rc.d/rc.sysinit
它调用执行了/etc/rc.d/rc.sysinit,而rc.sysinit是一个bash shell的脚本,它主要是完成一些系统初始化的工作,rc.sysinit是每一个运行级别都要首先运行的重要脚本。它主要完成的工作有:激活交换分区,检查磁盘,加载硬件模块以及其它一些需要优先执行任务。
rc.sysinit约有850多行,但是每个单一的功能还是比较简单,而且带有注释,建议有兴趣的用户可以自行阅读自己机器上的该文件,以了解系统初始化所详细情况。由于此文件较长,所以不在本文中列出来,也不做具体的介绍。
当rc.sysinit程序执行完毕后,将返回init继续下一步。
?
第四部分:启动对应运行级别的守护进程
在rc.sysinit执行后,将返回init继续其它的动作,通常接下来会执行到/etc/rc.d/rc程序。以运行级别3为例,init将执行配置文件inittab中的以下这行:
l5:5:wait:/etc/rc.d/rc 5
这一行表示以5为参数运行/etc/rc.d/rc,/etc/rc.d/rc是一个Shell脚本,它接受5作为参数,去执行/etc/rc.d/rc5.d/目录下的所有的rc启动脚本,/etc/rc.d/rc5.d/目录中的这些启动脚本实际上都是一些链接文件,而不是真正的rc启动脚本,真正的rc启动脚本实际上都是放在/etc/rc.d/init.d/目录下。而这些rc启动脚本有着类似的用法,它们一般能接受start、stop、restart、status等参数。
/etc/rc.d/rc5.d/中的rc启动脚本通常是K或S开头的链接文件,对于以以S开头的启动脚本,将以start参数来运行。而如果发现存在相应的脚本也存在K打头的链接,而且已经处于运行态了(以/var/lock/subsys/下的文件作为标志),则将首先以stop为参数停止这些已经启动了的守护进程,然后再重新运行。这样做是为了保证是当init改变运行级别时,所有相关的守护进程都将重启。
至于在每个运行级中将运行哪些守护进程,用户可以通过chkconfig或setup中的"System Services"来自行设定。常见的守护进程有:
amd:自动安装NFS守护进程
apmd:高级电源管理守护进程
arpwatch:记录日志并构建一个在LAN接口上看到的以太网地址和IP地址对数据库
autofs:自动安装管理进程automount,与NFS相关,依赖于NIS
crond:Linux下的计划任务的守护进程
named:DNS服务器
netfs:安装NFS、Samba和NetWare网络文件系统
network:激活已配置网络接口的脚本程序
nfs:打开NFS服务
portmap:RPC portmap管理器,它管理基于RPC服务的连接
sendmail:邮件服务器sendmail
smb:Samba文件共享/打印服务
syslog:一个让系统引导时起动syslog和klogd系统日志守候进程的脚本
xfs:X Window字型服务器,为本地和远程X服务器提供字型集
Xinetd:支持多种网络服务的核心守护进程,可以管理wuftp、sshd、telnet等服务
这些守护进程也启动完成了,rc程序也就执行完了,然后又将返回init继续下一步。
?
?
第五部分:建立终端
rc执行完毕后,返回init。这时基本系统环境已经设置好了,各种守护进程也已经启动了。init接下来会打开6个终端,以便用户登录系统。通过按Alt+Fn(n对应1-6)可以在这6个终端中切换。在inittab中的以下6行就是定义了6个终端:
1:2345:respawn:/sbin/mingetty tty1
2:2345:respawn:/sbin/mingetty tty2
3:2345:respawn:/sbin/mingetty tty3
4:2345:respawn:/sbin/mingetty tty4
5:2345:respawn:/sbin/mingetty tty5
6:2345:respawn:/sbin/mingetty tty6
从上面可以看出在2、3、4、5的运行级别中都将以respawn方式运行mingetty程序,mingetty程序能打开终端、设置模式。同时它会显示一个文本登录界面,这个界面就是我们经常看到的登录界面,在这个登录界面中会提示用户输入用户名,而用户输入的用户将作为参数传给login程序来验证用户的身份。
第六部分:登录系统,启动完成
对于运行级别为5的图形方式用户来说,他们的登录是通过一个图形化的登录界面。登录成功后可以直接进入KDE、Gnome等窗口管理器。而本文主要讲的还是文本方式登录的情况:
当我们看到mingetty的登录界面时,我们就可以输入用户名和密码来登录系统了。
Linux的账号验证程序是login,login会接收mingetty传来的用户名作为用户名参数。然后login会对用户名进行分析:如果用户名不是root,且存在/etc/nologin文件,login将输出nologin文件的内容,然后退出。这通常用来系统维护时防止非root用户登录。只有/etc/securetty中登记了的终端才允许root用户登录,如果不存在这个文件,则root可以在任何终端上登录。/etc/usertty文件用于对用户作出附加访问限制,如果不存在这个文件,则没有其他限制。
在分析完用户名后,login将搜索/etc/passwd以及/etc/shadow来验证密码以及设置账户的其它信息,比如:主目录是什么、使用何种shell。如果没有指定主目录,将默认为根目录;如果没有指定shell,将默认为/bin/bash。
login程序成功后,会向对应的终端在输出最近一次登录的信息(在/var/log/lastlog中有记录),并检查用户是否有新邮件(在/usr/spool/mail/的对应用户名目录下)。然后开始设置各种环境变量:对于bash来说,系统首先寻找/etc/profile脚本文件,并执行它;然后如果用户的主目录中存在.bash_profile文件,就执行它,在这些文件中又可能调用了其它配置文件,所有的配置文件执行后后,各种环境变量也设好了,这时会出现大家熟悉的命令行提示符,到此整个启动过程就结束了。
希望通过上面对Linux启动过程的剖析能帮助那些想深入学习Linux用户建立一个相关Linux启动过程的清晰概念,进而可以进一步研究Linux接下来是如何工作的。
?
?