实对称矩阵为正定矩阵的一个充分必要条件
本文是为了在学习凸优化的时候遇到的一个问题展开讨论的。目的是能够明白凸优化的理论基础,或者尽可能的明白它的理论基础。
1,对称矩阵的特征值是实数。
证明如下:(我是用latex编辑的,这里不能显示公式,所以我只能用图片了。

上面的证明可以说明对称矩阵的特征值一定是实数!
2、n阶方阵一定有n个特征跟(重跟按重数计算)
证明:
设A是一个n阶的方阵,它的特征多项式
是一个关于符号lambda的一个n次多项式,根据代数基本定理,它可以唯一的分解成一次因式的乘积。所以
一定有n个复数跟。
3、n阶实对称矩阵一定有n个实特征跟(重跟按重数计算)
由1和2便可以得到这个结论。
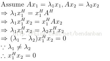
4、对称矩阵,从属于不同特征值的特征向量正交。
证明:

5、设A为n阶对称矩阵,则必有正交矩阵P,使得P^{-1}AP = P'AP = B,其中B是以A的特征值为对角线元素的对角矩阵。
这个不证明。
6、n阶对称阵的k重特征值的特征空间的维数是k。
7、对称矩阵所有特征向量以及零向量可以组成的线性空间还是原空间!
8、总上结论,我们可以得到结论:
实对称矩阵是非负定矩阵的充分必要条件是它的所有特征值都非负!!!
实对称矩阵是正定矩阵的充分必要条件是它的所有特征值都大于0!!!
上面两个结论只需要用正定矩阵的定义和实对称矩阵的性质证明。