pathload --有效的网络带宽估计方法
上一篇博客简述了现行的带宽估计的方法,分类,以及一些问题。
见:http://blog.csdn.net/ice110956/article/details/11071969
上文列出了13种现行的方法,这里首先介绍性能,准确性都较好的一个方法:pathload.
Pathload
首先介绍Pathload方法所属的类别
1. 正如上一篇blog所述,带宽估计的方法分为单端探测和两端探测,pathload属于两端探测;
2. 我们还可以根据发送的是包对,还是一系列紧相连的包,分为包对探测,包序列探测。Pathload属于包序列探测。如下图所示:

3. 接上篇blog的一幅图:

同样是包序列探测,还有许多不同的方法,比较直观的有两种:
一个是直接计算到达包的个数/秒,上图可得带宽为0.5packets/s.
另一个是用接收端到的时间-发送端发出的时间,具体到上图就是:
Da=t1+t2+0-0=t1+t2+0
Db=t1+t2+2-1=t1+t2+1
Dc=t1+t2+2
Dd=t1+t2+3;
接着再根据D来作进一步的计算,pathload就是用这种方法,具体实现下面介绍。
两个方法一个横向计算,一个纵向计算。
下面具体介绍pathload的方法。
一.判断是否过载
Pathload方法发送一个包序列,并记录发出时间以及到达时间。据证明,如果发送速率大于链路带宽,包的间隔会有增大的趋势;相反,发送速率小于链路带宽,没有这种趋势。发送端再根据这种趋势迭代地更新发送速率,直至收敛。
根据我们上面的图也能看出来,Da,Db,Dc,DD是直线上升的。
如下面两个图,横坐标是包间隔,纵坐标是单向的链路延时,即到达时间减去发送时间。
图1是在发送速率达于链路的情况下统计的,表明发送带宽达于链路带宽,D成增长趋势。
图2表明,小于的情况下,没有这种趋势。
图3表示网络带宽突然的增长导致曲线突然上升。



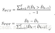
上面我们只是直观地判断是否有增长的趋势,下面具体提出两个指标公式。

PCT指标为增加的百分比;一直上升为1,不变为0;
PDT指标为绝对差值比去相对总浮动。直线上升为1,直线下降为-1,水平为0.


如上图所示,这两个指标有的时候是有差异以及盲点的。第一幅,虽然呈现上升趋势,当偶然的误差导致PDT为0;第二幅,同样也是上升,PCT却为4/11.
于是我们取如下的综合策略来进行综合评估。
1, 如果其中某个为上升,另一个是上升或不确定,则判断为上升。
2, 同样,如果其中一个为下降,另一个是下降或不确定,判断为下降。
3, 如果都为不确定,则判断为不确定
4, 一个上升,一个下降,结果丢弃。
pathload设置的PCT和PDT的阈值分别为:
PCT:0-0.54,下降;0.54-0.66,不确定;0.66-1,上升。
PDT:-1-0.45,下降;0.45-0.55,不确定;0.55-1,上升。
下面两个图分别展示着两个指标的准确度。


二.参数选择问题:
首先是包大小与发送周期的关系;
包的大小不能达于链路最小分包的大小,否则会被链路层切成小块;同样也不能过小,防止链路层填充包大小。
一般包大小为48-96byte.
发包的周期越小越好。
操作系统最小周期可达30us,pathload采用100us的周期。即间隔100us发送一个探测包。
于是首先确定要发送的包序列的带宽R,然后周期为T,再计算应该发送的包的大小,用如下的公式:

然后是序列的长度。序列过长导致路由阻塞丢包。过短不能有效判断带宽。这里的长度为K=100,这样的一个序列成为一个stream.
一个stream的判断准确度有限,pathload里面用N个stream来综合评定是否上升。
Stream之间有一个小的间隔,只为等待两端的计算处理。
pathload中N是12,这样的12个stream称为一个fleet.
最后,根据N个序列的结果,我们还要做一次综合评定。取f=70%为阈值,即这每个fleet里面,增长或减少的stream数量要分别大于70%才能下结论,否者定为不确定。
三.二分法收敛到估计带宽
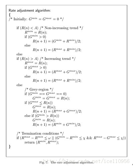
我们上面最后的计算结果过载,不确定,或不过载。那么我们要如何估计网络的具体带宽呢?pathload用二分法来收敛到网络带宽。
一个fleet用于判定是否过载,接下来要用多个fleet进行带宽准确估计。每个fleet得到一个判定后,用二分法迭代,直到满足一定的收敛条件,程序如下:

如上图,其中的R分别表示当前的发送速率,G表示当前的不确定区间。用二分法迭代收敛R和G,当满足一个阈值w,x的时候,表示收敛,可以得到最终的链路速率。这种方法最后确定的是一个速率区间。
四.几个注意事项:
1.接受方还要计算丢包率,当有丢包时,这个stream就被标记为不可用。如果多余一个stream丢包,或丢包率很大,直接把当前的速率作为上限,继续计算。
2.接受方还要计算两个包的发送间隔,间隔大于一定值时,接受端判断发送端发送线程被抢占,出现错误,以i为界限,把包分为两个部分,取大的一个部分继续计算,丢弃另一部分。如下图,只取后面的一段。

五.结果
最后取(Rmin+Rmax)/2作为带宽估计值。试验表明,带宽越高,需要的收敛时间越长,15Mbps的带宽大概需要10个fleet即12S的时间。
参考文献:
Pathload: a measurement tool for end-to-end availablebandwidth
http://www.ece.ucdavis.edu/~chuah/classes/EEC274/refs/02JD-pathload.pdf