首页 诗词 字典 板报 句子 名言 友答 励志 学校 网站地图
当前位置: 首页 > 教程频道 > 开发语言 > 编程 >

田鸡跳台阶(斐波那契数列应用)

2013-10-08 
青蛙跳台阶(斐波那契数列应用)(1)一只青蛙一次可以跳上 1 级台阶,也可以跳上2 级。求该青蛙跳上一个n 级的

青蛙跳台阶(斐波那契数列应用)
(1)一只青蛙一次可以跳上 1 级台阶,也可以跳上2 级。求该青蛙跳上一个n 级的台阶总共有多少种跳法。

(2)一只青蛙一次可以跳上1级台阶,也可以跳上2 级……它也可以跳上n 级,此时该青蛙跳上一个n级的台阶总共有多少种跳法?


问题1:

题目描述:
一只青蛙一次可以跳上1级台阶,也可以跳上2级。求该青蛙跳上一个n级的台阶总共有多少种跳法。

输入:

输入包括一个整数n(1<=n<=70)。

输出:

输出该青蛙跳上一个n级的台阶总共有多少种跳法。

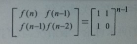
解:f(n)=f(n-1)+f(n-2)

其矩阵表示方法为:(时间复杂度 O(logn))

田鸡跳台阶(斐波那契数列应用)

田鸡跳台阶(斐波那契数列应用)

#include <iostream>using namespace std;class Matrix2By2{public:long  x11; long  x12;long  x21;long  x22;Matrix2By2():x11(0),x12(0),x21(0),x22(0){}Matrix2By2(long x1,long x2,long x3,long x4):x11(x1),x12(x2),x21(x3),x22(x4){}Matrix2By2 & operator *(const Matrix2By2 & temp){Matrix2By2 c(x11,x12,x21,x22);x11=c.x11*temp.x11+c.x12*temp.x21;x12=c.x11*temp.x12+c.x12*temp.x22;x21=c.x21*temp.x11+c.x22*temp.x21;x22=c.x21*temp.x12+c.x22*temp.x22;return *this;}};Matrix2By2 MatrixPower(int t){if(t==1){return Matrix2By2(1,1,1,0);}else if(t&1){return MatrixPower(t/2)*MatrixPower(t/2)*MatrixPower(1);// (t-1)/2 和 t-1 一样}else {return MatrixPower(t/2)*MatrixPower(t/2);}}long fab(int n){if(n==1){return 1;}else if(n==2){return 2;}else{Matrix2By2 maxtrix = MatrixPower(n);return maxtrix.x11;}}int main(){int n;while(cin>>n){cout<<fab(n)<<endl;}return 0;}

问题2:

f(n) = f(n-1) + f(n-2) + ···· f(2) + f(1) 

f(n-1) = f(n-2) + ···· f(2) + f(1)

f(n) - f(n -1)  = f(n-1)

f(n) = 2 f(n-1)

所以:f(n) = 2的n-1次方 *f(1) 

f(1) = 1

最终: f(n) = 2的n-1次方

热点排行