二叉树遍历的问题,请各位大神看看
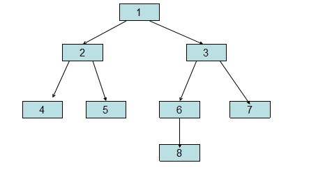
假设有以上结构的二叉树,现在要实现的排序是这样的:
1 2 4 5 3 6 8 7
只知道有前序中序和后序,这种的排序是个嘛意思,要怎么样搞呢?
请指教,谢谢~
[解决办法]
这个是中顺遍历,就是跟节点开始遍历,在左,在右
[解决办法]
那你知道 前序中序和后序 到底是啥么?
[解决办法]
google下 二叉树排序!
各种详解。。。