首页 诗词 字典 板报 句子 名言 友答 励志 学校 网站地图
当前位置: 首页 > 教程频道 > 其他教程 > 其他相关 >

[软件工程师的数学]notes——chapter 5

2013-08-01 
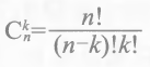
[程序员的数学]notes——chapter 5? 组合(combination):不考虑顺序。先考虑顺序进行计数,然后除以重复度。?置

[程序员的数学]notes——chapter 5

[软件工程师的数学]notes——chapter 5
?

组合(combination):不考虑顺序。先考虑顺序进行计数,然后除以重复度。

[软件工程师的数学]notes——chapter 5
?

置换和组合相结合就是排列。

?

思考题

重复组合:药品调剂

善用逻辑:至少有一端是王牌(正向逻辑、反向逻辑)

?

热点排行