线性判别分析(LDA), 主成分分析(PCA)
???? 当满足条件:对于所有的j,都有Yk > Yj,的时候,我们就说x属于类别k。对于每一个分类,都有一个公式去算一个分值,在所有的公式得到的分值中,找一个最大的,就是所属的分类了。
??? 上式实际上就是一种投影,是将一个高维的点投影到一条高维的直线上,LDA最求的目标是,给出一个标注了类别的数据集,投影到了一条直线之后,能够使得点尽量的按类别区分开,当k=2即二分类问题的时候,如下图所示:

???? 红色的方形的点为0类的原始点、蓝色的方形点为1类的原始点,经过原点的那条线就是投影的直线,从图上可以清楚的看到,红色的点和蓝色的点被原点明显的分开了,这个数据只是随便画的,如果在高维的情况下,看起来会更好一点。下面我来推导一下二分类LDA问题的公式:
???? 假设用来区分二分类的直线(投影函数)为:
![]()
??? LDA分类的一个目标是使得不同类别之间的距离越远越好,同一类别之中的距离越近越好,所以我们需要定义几个关键的值。
??? 类别i的原始中心点为:(Di表示属于类别i的点)
??? 类别i投影后的中心点为:
![]()
??? 衡量类别i投影后,类别点之间的分散程度(方差)为:

??? 最终我们可以得到一个下面的公式,表示LDA投影到w后的损失函数:

?? 我们分类的目标是,使得类别内的点距离越近越好(集中),类别间的点越远越好。分母表示每一个类别内的方差之和,方差越大表示一个类别内的点越分散,分子为两个类别各自的中心点的距离的平方,我们最大化J(w)就可以求出最优的w了。想要求出最优的w,可以使用拉格朗日乘子法,但是现在我们得到的J(w)里面,w是不能被单独提出来的,我们就得想办法将w单独提出来。
?? 我们定义一个投影前的各类别分散程度的矩阵,这个矩阵看起来有一点麻烦,其实意思是,如果某一个分类的输入点集Di里面的点距离这个分类的中心店mi越近,则Si里面元素的值就越小,如果分类的点都紧紧地围绕着mi,则Si里面的元素值越更接近0.

?? 带入Si,将J(w)分母化为:

![]()
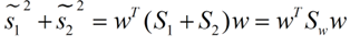
?? 同样的将J(w)分子化为:
![]()
?? 这样损失函数可以化成下面的形式:
?
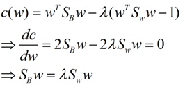
?? 这样就可以用最喜欢的拉格朗日乘子法了,但是还有一个问题,如果分子、分母是都可以取任意值的,那就会使得有无穷解,我们将分母限制为长度为1(这是用拉格朗日乘子法一个很重要的技巧,在下面将说的PCA里面也会用到,如果忘记了,请复习一下高数),并作为拉格朗日乘子法的限制条件,带入得到:

?? 这样的式子就是一个求特征值的问题了。
?? 对于N(N>2)分类的问题,我就直接写出下面的结论了:

?? 这同样是一个求特征值的问题,我们求出的第i大的特征向量,就是对应的Wi了。
?? 这里想多谈谈特征值,特征值在纯数学、量子力学、固体力学、计算机等等领域都有广泛的应用,特征值表示的是矩阵的性质,当我们取到矩阵的前N个最大的特征值的时候,我们可以说提取到的矩阵主要的成分(这个和之后的PCA相关,但是不是完全一样的概念)。在机器学习领域,不少的地方都要用到特征值的计算,比如说图像识别、pagerank、LDA、还有之后将会提到的PCA等等。
?? 下图是图像识别中广泛用到的特征脸(eigen face),提取出特征脸有两个目的,首先是为了压缩数据,对于一张图片,只需要保存其最重要的部分就是了,然后是为了使得程序更容易处理,在提取主要特征的时候,很多的噪声都被过滤掉了。跟下面将谈到的PCA的作用非常相关。

??? 特征值的求法有很多,求一个D * D的矩阵的时间复杂度是O(D^3), 也有一些求Top M的方法,比如说power method,它的时间复杂度是O(D^2 * M), 总体来说,求特征值是一个很费时间的操作,如果是单机环境下,是很局限的。
PCA:
??? 主成分分析(PCA)与LDA有着非常近似的意思,LDA的输入数据是带标签的,而PCA的输入数据是不带标签的,所以PCA是一种unsupervised learning。LDA通常来说是作为一个独立的算法存在,给定了训练数据后,将会得到一系列的判别函数(discriminate function),之后对于新的输入,就可以进行预测了。而PCA更像是一个预处理的方法,它可以将原本的数据降低维度,而使得降低了维度的数据之间的方差最大(也可以说投影误差最小,具体在之后的推导里面会谈到)。
??? 方差这个东西是个很有趣的,有些时候我们会考虑减少方差(比如说训练模型的时候,我们会考虑到方差-偏差的均衡),有的时候我们会尽量的增大方差。方差就像是一种信仰(强哥的话),不一定会有很严密的证明,从实践来说,通过尽量增大投影方差的PCA算法,确实可以提高我们的算法质量。
??? 说了这么多,推推公式可以帮助我们理解。我下面将用两种思路来推导出一个同样的表达式。首先是最大化投影后的方差,其次是最小化投影后的损失(投影产生的损失最小)。
??? 最大化方差法:
??? 假设我们还是将一个空间中的点投影到一个向量中去。首先,给出原空间的中心点:
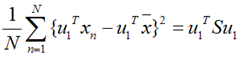
??? 假设u1为投影向量,投影之后的方差为:
??? 上面这个式子如果看懂了之前推导LDA的过程,应该比较容易理解,如果线性代数里面的内容忘记了,可以再温习一下,优化上式等号右边的内容,还是用拉格朗日乘子法:
??? 将上式求导,使之为0,得到:
??? 这是一个标准的特征值表达式了,λ对应的特征值,u对应的特征向量。上式的左边取得最大值的条件就是λ1最大,也就是取得最大的特征值的时候。假设我们是要将一个D维的数据空间投影到M维的数据空间中(M < D), 那我们取前M个特征向量构成的投影矩阵就是能够使得方差最大的矩阵了。
??? 最小化损失法:
??? 假设输入数据x是在D维空间中的点,那么,我们可以用D个正交的D维向量去完全的表示这个空间(这个空间中所有的向量都可以用这D个向量的线性组合得到)。在D维空间中,有无穷多种可能找这D个正交的D维向量,哪个组合是最合适的呢?
??? 假设我们已经找到了这D个向量,可以得到:
??? 我们可以用近似法来表示投影后的点:
??? 上式表示,得到的新的x是由前M 个基的线性组合加上后D - M个基的线性组合,注意这里的z是对于每个x都不同的,而b对于每个x是相同的,这样我们就可以用M个数来表示空间中的一个点,也就是使得数据降维了。但是这样降维后的数据,必然会产生一些扭曲,我们用J描述这种扭曲,我们的目标是,使得J最小:
??? 上式的意思很直观,就是对于每一个点,将降维后的点与原始的点之间的距离的平方和加起来,求平均值,我们就要使得这个平均值最小。我们令:
??? 将上面得到的z与b带入降维的表达式:
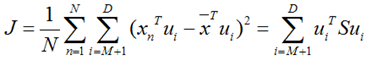
??? 将上式带入J的表达式得到:
?
??? 再用上拉普拉斯乘子法(此处略),可以得到,取得我们想要的投影基的表达式为:
??? 这里又是一个特征值的表达式,我们想要的前M个向量其实就是这里最大的M个特征值所对应的特征向量。证明这个还可以看看,我们J可以化为:
??? 也就是当误差J是由最小的D - M个特征值组成的时候,J取得最小值。跟上面的意思相同。
??? 下图是PCA的投影的一个表示,黑色的点是原始的点,带箭头的虚线是投影的向量,Pc1表示特征值最大的特征向量,pc2表示特征值次大的特征向量,两者是彼此正交的,因为这原本是一个2维的空间,所以最多有两个投影的向量,如果空间维度更高,则投影的向量会更多。

?
总结:
??? 本次主要讲了两种方法,PCA与LDA,两者的思想和计算方法非常类似,但是一个是作为独立的算法存在,另一个更多的用于数据的预处理的工作。另外对于PCA和LDA还有核方法,本次的篇幅比较大了,先不说了,以后有时间再谈:
?
参考资料:
??? prml bishop,introduce to LDA(对不起,这个真没有查到出处)
?
转自:http://leftnoteasy.cnblogs.com