首页 诗词 字典 板报 句子 名言 友答 励志 学校 网站地图
当前位置: 首页 > 教程频道 > 开发语言 > 编程 >

大顶堆的兑现

2013-06-25 
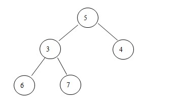
大顶堆的实现?小(大)顶堆的实现??1. 用数组表示二叉树?二叉树表示如下图:??用数组表示二叉树23468? ? ? ?

大顶堆的实现

?

小(大)顶堆的实现

?

?

1. 用数组表示二叉树

?

二叉树表示如下图:

大顶堆的兑现

?

?

用数组表示二叉树

23468? ? ? ? ? ?A0大顶堆的兑现大顶堆的兑现

?

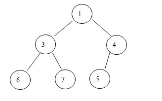
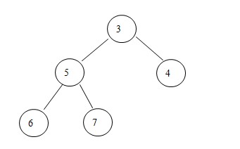
弹出:

1.将数组最后一项和数组第一项交换,弹出数组最后一项

2.将数组第一项下沉到某一特定层数。

大顶堆的兑现大顶堆的兑现大顶堆的兑现

?

插入和删除都是O(lgN)

?

热点排行