Activiti 五 在线流程设计器开发
Activiti 5 在线流程设计器开发设计器按设计器生成一份文档格式,通过系统中提供的xslt转化文档,完成转化后
Activiti 5 在线流程设计器开发
设计器按设计器生成一份文档格式,通过系统中提供的xslt转化文档,完成转化后,生成bpmn20的格式文档,该文档可被activiti5直接识别。
?
其设计器及转化效果如下所示:

?

?
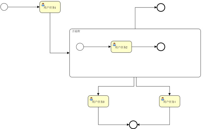
发布后,通过activiti5的api生成的流程图如下所示:
?

?
?

?
设计器原生成的文档格式:
"647.0"></omgdi:waypoint>??- ????????????</bpmndi:BPMNEdge>??
- ????????</bpmndi:BPMNPlane>??
- ????</bpmndi:BPMNDiagram>??
- </definitions> ?